الپوستات كلها بترتيب زمني من الأقدم للأجدد. اللينك الأصلي لپوست الفيسبوك موجود إذا أراد القاريء الإطلاع علي الكومنتات.
5-15-2019
The pseudoscience dictionary:
Theory: hypothesis with no evidence whatsoever.
Education: books? What’s that?
Science: a worldwide conspiracy.
Scientists: people paid to promote science (see science)
NASA: the illuminati. A group of literally millions of scientists (see scientists) paid to promote science (see science)
Research: the act of watching as many YouTube videos as you can provided that they are not made by scientists (see above).
*********************************************************
6-24-2019
استاذ دكتور علي مصطفى مشرفة باشا ، عالم الرياضيات والفيزياء النظرية المعروف وأول عميد لكلية العلوم في مصر. الدكتور مشرفة عالم مصري كبير وله ابحاث قيمة ومتميزة في زمانها ، لكن احنا فينا طبع غريب. لازم علشان نُقَِدر علماءنا نلزقهم بالعافية في علماء غربيين. والله العظيم وولا ليكوا عليا حلفان اينشتاين ما سرقش النسبية من مشرفة (الي كان عنده ٧ سنين لما اينشتاين نشر النسبية سنة ١٩٠٥) ووالله العظيم مشرفة ماهواش واحد من عشرة بس في العالم فهموا النسبية. ووحياتكوا عندي لم يثبت في اي مصدر حقيقي ان اينشتاين قال "اليوم مات نصف العلم" حين توفي مشرفة (الي مات موتة ربنا وماحدش قتله). اما باقي الاشاعات زي انهم كانوا بيتراسلوا فلم اجد دليل علي ذلك ولكن ان كان حقيقة فلا استغربها. العلماء بيتراسلوا عادي.
لو سمحتوا د. مشرفة قامة كبيرة في ذاته ومش محتاج منكم تلزقوه في اينشتاين بالعافية.
ملحوظة: الصور اسفله بها قائمة ابحاث مشرفة المنشورة. خمس دقايق على جوجل وحتلاقي معظمهم اذا حبيت تتطلع عليها.
*********************************************************
11-24-2020
The equation of everything (non-quantum everything anyway)
This is an action, students of physics will know what an action means. It contains within it:
All of spacetime based on general relativity: The term R.
The accelerated expansion of the universe: The term in Lambda.
The Lagrangian of all matter content L_M. This should contain all of the standard model, too long to be included here.
In
other words, this is the equation of EVERYTHING larger than quantum
scales. How this becomes the equation of everything including quantum
scales requires quantization. This has been done for L_M but not yet for
R and Lambda, which would require a theory of quantum gravity.
(Screenshot from my book - Covariant Physics)
*********************************************************
12-21-2020
You don't really fully understand the special theory of relativity until you have studied the general theory. Only then will your brain go:
"Whoa! So that's what it is!"
Similar arguments can be made for most of physics (QM and QFT, etc). The deeper theory explains its own special cases. The trick is to find the deeper theory. Now is there a "deepest" theory? The so-called Theory of Everything, which explains everything as special cases? Suppose it is found, how can it be of such beauty, perfection, completeness, that negates any deeper concept? In other words, once you have reached the bottom of the stairs, is there no floor carrying the stairs? And if there are none, and the stairs are just hanging in a complete void (a real void, no space, no time, an absolute NOTHING), how does one explain that the stairs exist? Is this where the god of the gaps come in? But if so, then such a god becomes a physical entity that interferes with the laws of nature, and becoming "physical" begs the natural question: How do you explain Him?
Such questions, arguments, more of philosophy than science, have prompted many physicists to adopt the attitude: "Whatever! Just shut up and calculate."
Of course religions have their own way of answering these questions. Is this the ultimate theory of everything? Some sort of mix between science and religion? If so, then either nature becomes mystical, in which case we can never understand it, OR religion becomes physical, in which case it must be subjected to the same checks and balances that science is subjected to. Conclusion: Science and Religion cannot in this case exist independently, one of them has to make way for the other.
I can go on, but perhaps there is no end to this line of thought. In any case I will just shut up and calculate .... for now.
*********************************************************
12-22-2020
أحياناً بتابع حوارات أو بتكلم مع ناس وبلاحظ حاجة ، بعض الناس بتعتقد إن معرفة المعلومة مهمة في العلوم. بمعني ، كمثال ، ييجي يقولك إنت بتاع فيزيا صح ، أختبرك: كام عدد كواكب المجموعة الشمسية؟ أو ما هو الرقم الدقيق لسرعة الضوء؟
أي حاجة كدة.
الحقيقة الأرقام والمعلومات إلي من النوع ده مابهتمش إني أحفظها ، لسبب بسيط ، إنها مش مهمة! أيوة سيادتك قريتها صح ، مش مهمة خالص. تفرق في إيه إذا كانت كواكب المجموعة الشمسية 8 ولا 20؟
ولا أي رقم تاني؟
الرقم مش مهم ، الأهم منه أسئلة من نوعية: إحنا عرفنا الرقم إزاي؟ إيه التجارب العبقرية إلي إتعملت علشان نلاقيه؟ وإيه الظواهر إلي بتحدد الرقم أصلاً؟ وبتشتغل إزاي؟ يعني مايهمنيش عدد الكواكب كرقم في حد ذاته ، لكن يهمني أفهم موجودين أصلاً ليه؟ وإيه إلي محافظ علي وجودهم ودورانهم إلي أخر الأسئلة إلي ممكن تتسئل.
وفيه أرقام ليها وحدات زي سرعة الضوء ، والوحدات في حد ذاتها إختراع بشري يعني أنا ممكن أقولك إن سرعة الضوء دشليون بطيخ في العفريتة ، حيث أن بطيخ هي وحدة المسافة والعفريتة هي وحدة الزمن في نظام وحدات لسة أنا مخترعه دلوقتي حالاً. مافرقتش بقي! (مع العلم إن فيه نظام وحدات طبيعي أكتر تكون فيه سرعة الضوء واحد صحيح وبنستعمله عادي. هنا تنشأ أسئلة من نوعية طيب النظام ده فايدته إيه وبيعلمنا إيه ، الرقم نفسه مش القضية.)
المهم ، في ما يخص الأرقام ، غالباً أقصي ما يهمني أنا شخصياً هو
order of magnitude
يعني هل الكمية إلي بنتكلم عنها ، مثلاً عدد الكواكب ، في حدود عشرة ولا في حدود مية؟ لأن ممكن الرقم في الحالة دي يكون ليه أهمية من ناحية ليه عددهم قليل أو ليه كتير؟ هل فهمنا لعوامل نشئة المجموعة الشمسية (كمثال) يأثر علي كمهم ، وهكذا؟
أما بخصوص الرقم نفسه فأنا بجيبه من جوجل عادي زيي زي أي حد.
7-3-2021
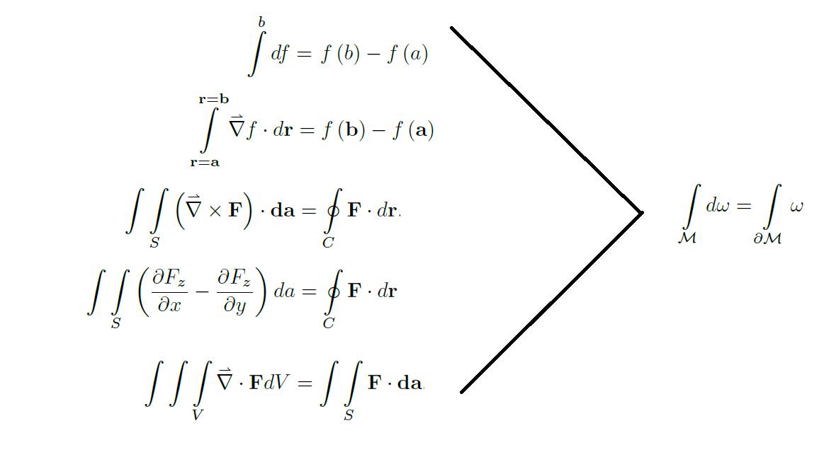
معادلات عظيمة في الرياضيات:
معظم دارسي الفيزياء والهندسة يعرفون المعادلات الخمسة الي علي اليسار ، وهي بالترتيب:
The fundamental theorem of one dimensional calculus
The fundamental theorem of three dimensional vector calculus
Stokes theorem
Green's theorem
The divergence (Gauss) theorem
معادلات كانت السبب في ليالي طويلة من المذاكرة وكلنا عندنا ذكريات سيئة معاها
المفاجأة بقي إن الخمس معادلات دي هم حالة خاصة من معادلة واحدة فقط وهي
The Stokes-Cartan equation
إلي
علي اليمين ، والمفاجأة الأكبر إن هذه المعادلة البسيطة شكلاً لكن عميقة
موضوعاً تعمل في أي عدد من الأبعاد الزمكانية حتي لو كانت منحنية (كما في
النسبية العامة) ومع ذلك هي بسيطة جداً (شكلاً) وده راجع إنها
مكتوبة بلغة ال
Differential forms
إلي هي أعم وأشمل من مفهوم الvectors العادي.
الnotation كل ما تزداد في البساطة ينتج عنها زيادة في عمق الفهم.
إعلان: كل ده مشروح تفصيلاً في كتابي Covariant Physics.
*********************************************************
7-3-2021
المعادلات
دي بتصف نظرية الكهرومغناطيسية بالكامل في جميع الظروف. مش مهم معناها
إيه. النقطة إلي عايز أقولها إن هذه المعادلات تعمل بدقة كلاسيكياً وكذلك
تعمل بدقة بإعتبار النسبية الخاصة وكذلك النسبية العامة!! من عبقرية
النظرية أنها تعمل في كل هذه الأحوال (بإستثناء ميكانيكا الكم) بلا أي
تعديل. كما لو نقول أن ماكسويل وضع أسس النسبيتان بدون أن يدري أنه فعل
ذلك.
(صورة من كتابي Covariant Physics)
ملحوظة:
بتعديلات بسيطة شكلاً لكن عميقة موضوعاً نفس هذه المعادلات تصف نظرية
يانج-ميلز التي بدورها تصف القوتان النوويتان الضعيفة والقوية.
************************************************************
7-3-2021
معادلات ماكسويل ممكن وضعها في صيغة تسمي ال
differential forms
وتصل هنا إلي أبسط صورها. في هذه الصورة:
أول معادلة: Faraday and no monopoles
تاني معادلة: Gauss and Ampere-Maxwell
بسيطة صح؟
تالت معادلة: Continuity equation
رابع معادلة: معادلة موجية تجمع معادلتي ماكسويل في معادلة واحدة!
أما الأخيرة فهي الEinstein-Maxwell Action
إلي فيه كل من النسبية العامة والكهرومغناطيسية في بوتقة واحدة.
يخرب بيت العظمة والله.
(صورة من كتابي Covariant Physics)
ملحوظة: أيضاً ببعض التعديلات البسيطة شكلاً العميقة موضوعاً تصف نفس هذه المعادلات نظرية يانج ميلز.
ملحوظة تانية: الرموز من نظرية رياضية إسمها differential forms
************************************************************
10-24-2021
جمال الرياضيات. معادلة واحدة. واحدة بس!! تحتوي في داخلها الوصف الكامل للنسبية العامة زائد معادلات ماكسويل للكهرومغناطيسية.
يعني المعادلة دي فيها البيج بانج وفيها الثقوب السوداء وفيها تليفزيون بيتكوا (من غير ميكانيكا الكم الي فيه). في معادلة واحدة!!! واحدة بس يا مان!!!
الصورة من كتابي Covariant Physics (اعلان بالمرة
)
تعديل علشان بس الدقة . هي مش فيها البيج بانج قوي لان ينقصها الmatter
content of the universe
المعادلة كما هي تعبر عن كون مافيهوش غير تيارات كهربية وحقول كهرومغناطيسية فقط لا غير.
https://www.facebook.com/moataz.emam.007/posts/10100975061979875
https://www.facebook.com/moataz.emam.007/posts/10100975061979875
*********************************************************
2-11-2022
صديق
علي الفيسبوك بيسالني (بسلامة نية اعتقد) عن بحث علمي واحد يؤكد ان التطور
البيولوچي واقع مثبت. دي مشكلة طبعاً وبتحصل كتير. عاملة كدة لما حد يطلب
بحث واحد يؤكد ميكانيكا الكم. مستحيل طبعاً ، دي علوم بحالها واثباتاتها
تراكمية مش من بحث واحد ولا اتنين ولا مية. يعني علشان تتأكد انها صحيحة
التأكد التام الشامل الي انت نفسك فيه لازم تدرسها بالتفصيل ، كتب اكاديمية
وابحاث وتجارب. قصة طويلة. طيب مين الي حيقدر يقعد يدرس كل ده ،
المتخصصين طبعاً مش الهواه ، طيب الهواه يعملوا ايه؟ قدامهم سكة من اتنين ،
يا اما يبقوا متخصصين ، يا اما يسمعوا كلام المتخصصين ويقروا كتب تبسيطية
وفيديوهات علمية. حتقولي يبقي كدة الهاوي عمره ما حيقتنع لو مصمم انه
مايقتنعش. حقولك وايه المشكلة؟ هو قرر انه لا يريد ان يصدق ، براحته. وكما
قال حبيب الملايين تايسون العلم صحيح سواء صدقته او لا. مش محتاجينك يعني.
عايز تتعلم اهلاً وسهلاً ، مصمم على جهلك ربنا معاك.
*********************************************************
4-6-2022
حوار بيني وبين صديق قراله كتابين تلاتة في البوب ساينس وفاهم انه فاهم:
* طبقاً للنسبية الجاذبية ليست قوة.
لأ الجاذبية قوة حتى في النسبية ، النقطة بس انك تعرف كلمة "قوة" صح.
* طيب مش نظرية نيوتن مافيهاش انحناء الزمكان؟
طب تصدق انه فيها بس هو الي مافسرهاش كدة.
* قانون بقاء الطاقة مطلق.
لأ
الحقيقة مش متأكدين قوي للدرجادي ، او على الاقل ليس بالتعريفات الي في
ذهنك. فيه عوامل كتير منها احتمالية اعادة التعريف في حالات معينة.
* الاكترون ممكن يتواجد في اماكن مختلفة في نفس الوقت طبقاً لميكانيكا الكم.
لأ
، "المكانية" في حد ذاتها تعريفها في ميكانيكا الكم مختلف عن التعريف
الكلاسيكي الي انت بنيت عليه كلامك ده. ولو دخلنا في ميكانيكا الكم النسبية
ونظرية المجال الكمومي الموضوع بيحلو اكتر.
* طيب اشرح.
لأ مش فاضي ، روح انت ذاكر (د. هشام سلام ستايل).
*********************************************************
4-8-2022
من حوارات الكلوبهاوس (بتصرف):
* دكتور معتز.
* نعمين.
* إنتو صحيح في الفيزيا عندكوا الكون ممكن يبقي أزلي؟ يعني الزمن لانهائي في الماضي؟
* آه صحيح.
* إزاي؟
* المعادلات بتاعة النسبية العامة (النظرية الحاكمة للكون) بتقول إن ده إحتمال ممكن.
* بس ده مش منطقي.
* ليه؟
* علشان معنى إن الزمن لانهائي في الماضي إن كم لانهائي من الزمن لابد يكون إنقضي علشان نوصل للنهاردة. كيف ينقضي ما لا ينقضي؟
*
عادي عندنا معادلات كتير في إنقضاء ما لاينقضي. تكاملات مثلاً من ناقص
مالانهاية للنهاردة بتدي نتايج نهائية عادي. إحنا بنقضي ما لاينقضي
تلاتربع مرات في اليوم قبل الأكل وبعده من غير أي مشاكل رياضية أو
فيزيائية.
* كلامك ده مناقض للفلسفة.
* ماشي وأنا مالي ، إنت سألتني عالفيزيا وجاوبتك.
* بس أنا مش قادر أتخيلها.
* مش مشكلتي.
* بس ده معناها إن لو الكون أزلي يبقي ربنا ما خلقش الكون.
* ليه؟ هو ربنا غير قادر إنه يخلق حاجة لامتناهية؟
* .... *صمت* ....
* رد عليا ، قادر ولا مش قادر؟
* قادر طبعاً.
* طب خلاص إنت إيه مشكلتك؟
* بقولك إيه إنت شكلك ملحد وحتتشوي في نار جهنم.
* طيب.
*********************************************************
4-9-2022
كتير
من الناس الي للاسف محسوبين علي كليات علمية محتاجين كورس كامل في
الفروقات بين مفاهيم زي: رأي العلماء وابحاث العلماء ، الكتاب الشخصي
والكتاب الاكاديمي ، البحث المحكم والمقال الي بيعبر عن رأي صاحبه (حتى لو
منشور في نيتشر ، ناس كتير فاكرة ان دي في حد ذاتها تخلي المقال منزل من
السماء) ومحتاجين يفهموا كيف يتطور الفكر العلمي حتى يصل الى مرحلة اليقين
(على قد مايسمح العلم من "اليقين") ، والفرق بين النظرية والفرضية ، وبين
الرصد والتجربة ، وبين الرياضيات المبنية على اسس فيزيائية والرياضيات
البحتة ، ومليون حاجة. المشكلة تلاقي واحد مش فاهم اي حاجة من دي وجايب
مقالات فاكر انها تثبت رأيه مع انه في الواقع العكس. ده بعض هؤلاء مألف كتب
وبيبيعها كلها هبد
ولكنه هبد مقنن ، لأنه قائم على نصف الحقيقة فقط والنصف التاني بايظ
تماماً علشان عدم مقدرتهم في التفريق بين المواضيع أعلاه. خلوا بالكوا
بتقروا ايه يا شباب. انا بكلم هنا الي عايز يتعلم بجد مش عايز ينتصر
لأيدولوچية ما وخلاص.
*********************************************************
4-16-2022
محتوى كل صورة: معادلات ماكسويل ، بس كل صورة مكتوبة بطريقة مختلفة.
اول صورة:
vector notation
تاني صورة:
tensor notation in Cartesian coordinates
تالت صورة:
tensor notation in generlaized coordinates (including curved spacetimes)
رابع صورة:
differential forms notation
المصدر: كتابي: Covariant Physics
************************************************************
4-17-2022
برضه من الحاجات الي معظم بتوع الرياضيات مابيحبوش اننا نعملها هي اننا كفيزيائيين فعلاً احياناً نتعامل مع
dy/dx
علي انها رقمين فوق بعض ونقعد نضرب فيهم ونقسم عليهم. ده لان بتاع الرياضيات في العادي بيتعامل معاها علي انها
Operator d/dx
Acting on a function y(x)
بس احنا بنعمل كدة عادي ودايماً بتدي النتيجة الصح من منطلق مبدأ
(Hey, it works!)
اللطيف بقى ان فيه في الرياضيات مدرستين بالفعل للتعامل مع الموضوع ده ، الاولى هي المدرسة التقليدية بتاعة ال
Limits
الي كل الكتب مكتوبة بيها ودي فعلاً بتتعامل مع الموضوع على الطريقة بتاعة الرياضيات العادية. لكن الي بعض الناس مايعرفوهوش (حتى بعض المتخصصين) هو ان مدرسة التعامل مع dx على انها رقم تعود الى نيوتن نفسه (مكتشف التفاضل) وكان بيسميها fluxions ، ولكنها لم يتم وضعها في سياق
Mathematically rigorous
لحد واحد اسمه
Robinson
في الستينيات فقط من القرن العشرين لما حط نظرية رياضية قوية عن الارقام الinfinitesimal دي ، وهذه النظرية تحقق بالفعل امكانية التعامل مع dx بطريقة الفيزيائيين.
Search for “hyperreal numbers”
ملحوظة: هناك اتجاه تالت مرتبط بالاتنين الاولانيين وهو التعامل مع dx على انها differential form ، بس دي قصة تانية.
*********************************************************
4-20-2022
بوستات كتير بشوفها من وقت للتاني مفادها ان اينشتاين كان حرامي وسرق النسبية الخاصة من
Lorentz and Poincare
الي عملوا معظم الشغل وهو جه بس حط اسمه عليه.
للاسف الي بيقولو الكلام ده لا هم عارفين بوانكاريه عمل ايه ولا لورتنز عمل ايه ولا اينشتاين نفسه عمل ايه علشان يوصلوا لهذه النتيجة ، امال تعملوا ايه لو عرفتوا ان معادلات ماكسويل مافيش ولا واحدة فيهم ماكسويل نفسه اكتشفها (غير انه عمل تعديل في واحدة منهم فقط)؟ هه؟ مثلاً يعني.
وبعدين تعالوا هنا ، هو يعني اينشتاين سرق النسبية من بوانكاريه ولورنتز في حياة بوانكاريه ولورنتز وهم سكتوا؟ ولا باقي العلماء سكتوا؟ وساكتين لحد النهاردة؟ دي مؤامرة عالمية مقصودة بقى على بوانكاريه ولورنتز حتى من بوانكاريه ولورنتز نفسهم.
انت مثلاً فاكر ايه؟ ان قبل ما يدونا الدكتوراه بيوم بياخدونا في غرفة سرية ويخلونا نحلف اننا نحافظ على المؤامرة ونفضل نقول اينشتاين اينشتاين طول حياتنا مثلاً؟
هو فيه ايه؟
الحقيقة يا استاذ ان عادي جداً وبتحصل كتير جداً ان الوقت يكون آن لظهور نظرية معينة ويبقى ليها مقدمات وناس اشتغلت وطلعت نتايج وبعدين ييجي واحد يلم النتايج دي ويستنبط منها مالم يستنبطه حد قبله ويطورها ويوسعها وتحمل اسمه لانه هو اول واحد يفهم معناها الحقيقي ، وده الي حصل في النسبية الخاصة. وكلنا عارفين كدة وبوانكاريه ولورنتز نفسهم كانوا عارفين كدة. وماتخافش مكانهم التاريخي محفوظ واحنا بتوع الفيزيا عارفين عملوا ايه وماحدش بينكر انجازاتهم.
وبعدين حتى لو فرضنا فرضاً جدلاً ان اينشتاين سرق النسبية الخاصة حتعمل ايه بقى في النسبية العامة الي هو المسئول الاوحد عنها ولا يوجد فيها اي شبهة ولا اي شغل اتعمل فيها قبله؟
ارحموا نفسكوا مش علشان شوية لايكات تزوروا التاريخ.
https://www.facebook.com/moataz.emam.007/posts/10101015840369655
https://www.facebook.com/moataz.emam.007/posts/10101015840369655
*********************************************************
4-22-2022
البوست ده كان كومنت ليا بس قلت مهم احطه بوست منفصل:
معندناش في العلم اننا نقرا الكتب او الابحاث القديمة بتاعت العلماء زي كتاب نيوتن او ابحاث اينشتاين الاصلية مثلاً. انا مثلاً مألف كتاب كامل عن النسبية العامة ولم اقرأ بحث واحد لاينشتاين فيها. ده العادي عندنا. لان المؤلفين القدام بيكتبوا باسلوب ورياضيات عصرهم. المحتوى العلمي الي في الكتب دي اعيد كتابته مئات وآلاف المرات باساليب احسن وافضل من الأصل بكتير. لو قريت كتاب عمره ٥٠ سنة مثلاً (مش ٣٠٠ زي نيوتن) يبقى انت فايتك التطور الي حصل في العلم والرياضيات الي حصل في ال٥٠ سنة دي وتبقى فعلياً ضيعت وقتك. يستثنى من ذلك المهتمين بتاريخ العلوم. نيوتن نفسه لو صحي دلوقتي وقرا الكتب الحديثة الي بتشرح نظريته مش حيفهم حاجة.
دي حاجة مختلفة تماماً عن اسلوب أهل العلوم الانسانية. في الادب مثلاً لما فلان يكتب قصيدة خلاص الموضوع انتهى ، علشان تعرف فلان بتقرا كتاباته. ممكن تقرا شروح لكتاباته لكن لازم تكون قريت الاصل. لكن احنا عندنا فلان نفسه مايهمناش ، يهمنا فقط انتاجه العلمي وبنمسك الانتاج ده نصلح فيه ونعدل فيه ونعيد كتابته باساليب اجدد واحدث. كمثال الرياضيات بتاعة النهاردة رموزها اختلفت تماماً من ايام نيوتن. لا احنا نفهم اسلوبه ولا هو يفهم اسلوبنا.
https://www.facebook.com/moataz.emam.007/posts/10101016291725135
https://www.facebook.com/moataz.emam.007/posts/10101016291725135
*************************************************************
4-23-2022
حوار في حصة فيزيا:
* مستر مستر.
* نعم يا حبيبي.
* انت شرحتلنا يعني ايه تنسور بالرياضيات ، بس هو فيزيائياً يعني ايه؟
*
شوف ياحبيبي ، انت عارف المتجه vector يعني ايه صح؟ مجرد سهم بيشاور في
اتجاه محدد. اي معادلة فيها متجهات لازم يكون الناحية اليمين والناحية
الشمال في نفس الاتجاه. زي قانون هوك
Hooke’s law
الي
بيقول ان لو ضغطت علي جسم في اتجاه لازم الجسم ينكمش في نفس الاتجاه. يعني
المؤثر والتأثير في نفس الاتجاه على خط واحد. شوف الصورة الي عالشمال.
طيب
افرض ان الجسم عامل زي الاستيكة (الجومة لو انت اسكندراني والممحاه لو انت
عضو في مجمع اللغة العربية) وضغطت عليها في اتجاه ، آه حتنكمش زي في
الصورة الي عاليمين لكن كمان حتتنفخ في اتجاه تاني صح؟
* صح يامستر
*
طيب هنا بقى مش حنقدر نوصف الاستيكة بتعمل ايه باستعمال المتجهات العادية ،
لأن المؤثر في اتجاه والتأثير في اتجاهات مختلفة. التنسور بقى تعميم
للمتجهات vectors بس يقدر ياخد في الاعتبار تعدد الاتجاهات ده ، يعني ياخد
التأثير ويوزعه على الإتجاهات المختلفة. وضحت؟
* آه يا مستر وضحت.
* مستر مستر
* عايز ايه تاني؟
* ممكن اروح الحمام؟
مصدر الصورة: كتابي Covariant Physics
*********************************************************
4-26-2022
معادلات ماكسويل:
كل من درس فيزياء او هندسة عارف المعادلات دي بصورتها المبينة في الصورة ، الى درجة اني اكاد اجزم ان الغالبية بتجيلهم كوابيس بسببها طول العمر.
سيبك من E=mc^2 وسيبك من تحدب الزمكان والبيج بانج ، الفيزيا كلها كوم وعبقرية هذه المعادلات كوم تاني خالص!
الاربع معادلات دي (في قول آخر هم ٨ ، وفي قولٍ ثالث هم اتنين ، بحسب بتعد ازاي
) هم المسئولين المسئولية الاولى عن التكنولوچيا البشرية الحديثة في الالكترونيات ، من اول الراديو والتليفون لحد البلوتوث والچي بى إس. يعني زي ما بقول للطلبة بتوعي: تصميم تليفزيون بيتكوا موجود جوة المعادلات دي (زائد ميكانيكا الكم) بس انت مش واخد بالك.
الاربعة مش بتوع ماكسويل ، الاولى اكتشفها عالم الرياضيات الأشهر جاوس ، والتانية برضه نقدر نقول انها تبع جاوس ، التالتة نتيجة شغل العبقري الأوحد سير مايكل فاراداي ، والاخيرة من اكتشاف أمپير الشهير زائد تعديل "بسيط" من ماكسويل (شوف تحت).
طيب لما هو المعادلات معظمها من اكتشاف آخرين متسمية بإسم ماكسويل ليه؟
علشان هو حرامي وسرق شغل غيره؟
تؤ تؤ
ابسوليوتلي ، ده حتي الراجل مادعاش انهم بتوعه. الي جم بعده هم الي سموهم كدة تخليداً لعبقريته. طيب هو عمل ايه؟
كذا حاجة.
اولاً ماكسويل اثبت ان هذه المعادلات الاربعة متناسقة ومتجانسة ومكتملة بحيث انهم وحدهم كافيين لتفسير اي ظاهرة كهرومغناطيسية ولا يوجد غيرهم. يعني الراجل اثبت ان ماحدش حيلاقي معادلة خامسة مستقلة تصف المجالات الكهرومغناطيسية (تخيل لما تثبت حاجة زي كدة ، تخيل).
ثانياً عمل تعديل في قانون امبير ، اضاف التيرم المتعلم عليه بالاحمر. التيرم ده سيادتك تقريباً وحده المسئول عن اكتمال النظرية ومن غيره ماكانتش تكنولوجيتنا الحديثة ممكنة. من غير التيرم ده تليفونك ليس ممكناً من الأساس!!!
استخدم الاربع معادلات ليتنبأ بوجود الموجات الكهرومغناطيسية بل الالعن من كدة اثبات ان الضوء ليس الا موجة كهرومغناطيسية تتحرك بسرعة ثابتة لاي مراقب في الفراغ. ومن هنا طلعت النظرية الخاصة للنسبية بكامل آلياتها.
انت متخيل يا مان كم العلم والتكنولوچيا الي طلعت من شغل الراجل ده الي قليل من الناس خارج تخصصات الفيزيا والهندسة سمعوا عنه أصلاً؟ ده من كتر ما هو مجهول مافيش طالب ثانوي من المنوفية ظهر ليحطم نظريته. تخيل؟
السلام على روحك ايها العبقري المغمور جيمس كليرك ماكسويل.
*********************************************************
4-29-2022
4-29-2022
من أجمل الرياضيات الي درستها في حياتي حاجة اسمها
Differential forms
او بس
Forms
وهي
تعتبر الى حد ما تعميم للمتجهات والتنسور وتعميم للتفاضل والتكامل اصلاً.
اللطيف ان كل قوى الطبيعة تقدر تكتبها في صيغة الفورمز دي. وبتطلع
المعادلات دي دايماً ابسط و"انضف" بكتير من مثيلاتها بالمتجهات والتنسورز.
تجربتي الشخصية ان كل ما يحصل كدة دي بتبقى علامة على عمق اكتر في المعنى
الفيزيائي.
على
سبيل المثال انا مافهمتش ليه كل معادلات المجال في الفيزياء معادلات
تفاضلية من الدرجة التانية غير لما كتبتها بالفورمز. اشمعنى يعني الدرجة
التانية مش التالتة ولا اي رقم تاني. تبان من خصائص الفورمز.
ليه العلاقات بين المجالات وبين الpotentials بتاعتها علاقة تفاضلية؟ تبان بالفورمز.
ليه فيه معادلات في الرياضيات من نوعية:
Div of a curl is always zero
Curl of a gradient is always zero
الي بتطلع في الفيزيا كل خمس دقايق دي؟ كله بسبب خاصية واحدة فقط من خصائص الفورمز.
ايه اهمية معادلات ال
Simple harmonic motion and the wave equations
الي مخليها تطلع في كل حتة في الفيزياء؟ حتعرف لما تدرس الفورمز.
من حبي في الفورمز بكتب كل ابحاثي بيها ، وخصصتلها تشابتر بحاله في كتابي.
كمثال
، واحد من الفورمز دي خصائصه تعبر عن كل الموجات الكهرومغناطيسية ومعادلة
واحدة فقط (الي في الصورة) مسئولة عن الضوء وكل الموجات المهرومغناطيسية.
And God said:
“Let there be an Abelian one-form ‘A’ that is both closed and co-closed in vacuum.”
*********************************************************
5-1-2022
ميكانيكا الكم من العلوم التي ، في رأيي ، لا تبسط بسهولة مطلقاً. طالب الفيزياء بيقعد يدرس فيها سنين طويلة علشان بس في يوم من الأيام يوصل للفهم الحقيقي ، وخلي بالك حين أقول فهم لا اقصد تخيل او تصور ، لان عقلك غير قادر على وضع صورة لما يحدث على المستوى الكمي. طيب ايه الي بيحصل؟ الي بيحصل ان سنين من دراسة رياضياتها بتوصلك الى نوع من الفهم الرياضياتي الذي لا يحمل معه صورة مرفقة. ولذلك تصل الى انك تقدر تقول حاجات من نوعية:
لأ ، الsuperposition of states مش معناه ان الالكترون يستطيع التواجد في مكانين في نفس الوقت.
لأ لأ ، التشابك الكمومي مش معناه انتقال اشارة اسرع من الضوء.
وفي كل مرة بتقول فيها الكلام ده بييجي في دماغك المعادلات وتجد انك غير قادر ان تحول هذه المعادلات الى كلام باللغة. طيب الي مش عايز يدرس بهذا التفصيل لكن عايز يفهم برضه؟ هناك كتب جيدة تشرح لكن خلي بالك عمرك ما حتوصل معاها لأكتر من ٣٠٪ (مثلاً) فهم حقيقي بدون الرياضيات.
وبعد سنين من دراسة ميكانيكا الكم العادية وبعد ماتوصل للفهم "الحقيقي" ايه الي حيحصل؟
نروح ساعتها بقى رازعينك نظرية المجالات الكمومية quantum field theory الي حتغيرلك كل الي فهمته في ميكانيكا الكم العادية وتقلبلك حياتك رأساً على عقب وتقعد سنين تاني علشان تفهمها.
طيب ودي آخر الطريق يعني؟
لا لا آخر الطريق ايه ، إحنا لسة بنسخن ، لسة فيه الاوتار الفائقة الي حتعملك قلبان تاني في دماغك وتكتشف ان الي فات حمادة والي جاي حمادة تاني خالص ، بس من حسن حظك لسة مش مثبتة معملياً فتقدر تقف هنا
.
*********************************************************
5-5-2022
من أشهر المغالطات المنتشرة ان المركبات الفضائية تخرج خارج جاذبية الارض:
مافيش
حاجة اسمها تخرج برة جاذبية الارض. الجاذبية قوة بعيدة المدى ، تضعف
بالمسافة (ابتعاداً عن الكتلة المسببة لها وليس داخل الكتلة ده موضوع تاني)
، ولكنها لا تصبح صفراً الا في المالانهاية!! ولذلك من المستحيل نظرياً
على الأقل الخروج خارج نطاق الجاذبية (لكنها تضعف جداً بحيث تكون مهملة على
مسافات بعيدة). ولكن المركبات الفضائية بتاعتنا التي وصلت حتى للقمر لم
تخرج ابداً خارج هذا الحد وتظل جاذبية الارض تعمل عليها طول الوقت. القمر
نفسه داخل نطاق جاذبية الأرض ، أمال هو بيلف حوالينا ليه؟ من جمال عيوننا
مثلاً؟
طيب
والفيديوهات الي بنشوفها لرواد الفضاء الطايرين جوة المركبة دول ايه؟ دول
سيادتك في حالة سقوط حر ، أي أنهم يتسارعون بنفس معدل تسارع المركبة الي هم
فيها فبيطيروا بالنسبة لجدران المركبة ولذلك على مذهب الإمام اسحق نيوتن.
وفي قولٍ آخر الرواد والمركبة يتحركون على خطوط جيوديسية على مذهب الإمام
ألبرت أينشتاين.
أنظر بوستاتي السابقة عن الفرق بين مذاهب الإمامين المذكورين.
*********************************************************
5-6-2022
صحيح دي مش فيزيائيات بصورة مباشرة بس ليها علاقة برضه ، في حياتي اشتغلت استاذ في قسم الرياضيات سنتين ورا بعض في اول الكارير وكنت بدرس مادة التفاضل والتكامل لحد الجزء التالت. الفترة دي انشغلت بمحاولة فهم عميق لفكرة التفاضليات زي dx وخلافه ، ودخلت حتى في نظرية الhyperreals بتاعة روبنسون الي يعرفها الرياضيين وبتفسر التفاضليات dx على انها ارقام متناهية في الصغر بلا تناقض ، وهي فكرة نيوتن الأصلية بالأساس.
المهم
تعرفت ساعتها على "بوق جبريل"
Gabriel’s Horn
وهو شكل ثلاثي الابعاد ينتج بمنتهي البساطة بتدوير منحني 1/x من x=1 على محوره كما في الصور. لاحظ بساطة الفكرة وبساطة المنحنى وايضاً لاحظ ان 1/x دي بتظهر في الفيزياء في كل حتة.
بوق جبريل سطح لانهائي في اتجاه واحد ، ولذلك لما تحسب مسطحه يطلع لانهائي مافيش مشكلة خالص. الغريب بقى لما تحسب الحجم الذي يحتويه يطلع رقم نهائي عادي خالص ولا كأن فيه اي حاجة
ولذلك احياناً يقولوا عليه: "الجردل (السطل) الذي يحتوي طلاء لكن من المستحيل طلاء سطحه."
وينقضي مالا ينقضي من غير حتى مايكح كحة
مصدر الصور: notes كنت عاملها لكورس التفاضل والتكامل.
*********************************************************
5-6-2022
معادلات مجال الجاذبية لنيوتن
Newton’s gravitational field equations
تحذير: الآتي فيه شوية رياضيات تقيلة سيكا.
ناس كتير لما تسألها ماهي معادلات الجاذبية لنيوتن يقولك
F=GmM/r^2
وده صحيح طبعاً لكن فيه معادلات اعمق من كدة وهي الي موجودة في الصورة.
الي درس نظرية الكهروستاتيكية electrostatics حيشبه عليهم ، وحيبقى معاه حق. هم فعلاً شبه معادلات المجال الكهربي لو استبدلنا g بE. طيب ليه كدة؟
لأن مجال الجاذبية طبقاً لمذهب الإمام الأعظم إسحق نيوتن له خواص هي صورة طبق الأصل من خواص المجال الكهربي الاستاتيكي. ولذلك ليس من الصدفة ان قانون نيوتن اعلاه وقانون كولوم شبه بعض الاتنين. المعادلة في الصورة الاولانية هي قانون جاوس للمجال الجذبوي g ، وبتقول ان مجال الجاذبية يجب ان يصدر من مصادر محددة ويذهب الى مالانهاية ، وهذه المصادر لها كثافة ρ ، والمعادلة التانية تقول ان خطوط مجال الجاذبية لا يمكن ان تكون مغلقة ، دائماً مفتوحة. وطبقاً لقاعدة اكتشفها واحد اسمه Helmholtz فأن هاتان المعادلتان تكفيان بالكامل لوصف مجال الجاذبية ولا نحتاج لغيرهما. اي ان هاتان المعدلتان لجاذبية نيوتن هما ما يشبه معادلات ماكسويل للكهرومغناطيسية. وعلي فكرة قانون نيوتن الاصلي الي فوق ده هو ببساطة أحد الحلول لهاتان المعادلتان اذا عرفنا ان
F=mg
g=GM/r^2
للأسف نادراً ما بندرس نظرية الجاذبية لنيوتن باستخدام هاتان المعادلتان مع انهما بسبب تشابههما مع الكهربية ممكن يكونا مفهومتان بسهولة لكل من درس كهربية.
وتتوالى التشابهات. المعادلة التالتة تنبثق من المعادلة التانية ، وتعرف Φ وهو الgravitational potential الذي يلعب نفس الدور الذي يلعبه الڤولت العادي في الكهربية!!! وبتركيب هذا التعريف في قانون جاوس نصل في النهاية للمعادلة الاخيرة وهي معادلة پواسون التقليدية في مجال الجاذبية. وتنشق منها معادلة لاپلاس الشهيرة الي بتتحل عادي بطريقة separation of variables
الأخيرة دي بقي تلاقيها مدفونة جوة معادلات المجال بتاعة مييييين؟ عمك اينشتاين!! ايوة المعادلات بتاعة انحناء الزمكان دي ، جواها معادلة پواسون كحالة خاصة منها.
نيوتن فسر Φ علي انها potential يطلع منه مجال g ثم يطلع منه قوة F ، أما اينشتاين ففسرها على انها من مكونات المتريك الي يطلع منها انحناء في الزمكان. لاحظ ان في التفسيرين المعادلة هي هي ، فهمها بس هو الي بيختلف ، علشان كدة انا بيركبني عفريت لما بسمع حد بيقول ان اينشتاين طلع نيوتن غلطان!! لا يا باشا ، اينشتاين عمم نيوتن ونيوتن حالة خاصة من اينشتاين ، والمعادلات في الحالتين هي هي ، فهمها بس الي تم تعميمه. يعني انا بتخيل ان نيوتن كان ممكن يشوف انحناء الزمكان في معادلاته هو ، بس ماخدش باله لانه انحناء طفيف مش كبير.
فقط لاغير!
*********************************************************
5-8-2022
الناس الي بتاخد دكتوراهات في العلوم الاساسية او الهندسية: والله العظيم ولا ليكوا عليا حلفان الدرجة بتاعتكوا اسمها الدكتوراه فقط!!! ماسمهاش "دكتوراه الفلسفة في العلوم او الهندسة"
اه ، انا عارف انها
PhD
وده اختصار اليونانية
(Ph)ilosophiae (D)octor
ولكن
المعني المقصود هنا هو اصل الكلمة اليوناني وهو "الباحث عن الحكمة" وليس المقصود الفلسفة بمعناها الحديث!!
والله العظيم انا كواحد معاه دكتوراه في الفيزيا واسمها علي الورق PhD لا عمري درست فلسفة ولا قريتها ولا محتاجلها ولا تهمني ولا قيمة لها اصلاً في العلم الي درسته وبعمل فيه ابحاث.
بطلوا لخبطة وادخال الحابل بالنابل. وبطلوا تترجموا PhD بالطريقة دي ، اسمها دكتوراه في كذا وخلاص.
https://www.facebook.com/moataz.emam.007/posts/10101019589855655
https://www.facebook.com/moataz.emam.007/posts/10101019589855655
*********************************************************
5-8-2022
إستكمال الحديث عن درجة الدكتوراه
PhD
الدرجة دي درجة بحثية مش درجة تعليمية. ناس كتير فاكرة انها درجة زيادة زي البكالوريوس والماجستير. لا ، البكالوريوس والماجستير الهدف منهم تتعلم مادة جديدة معروفة قبلك مش الهدف انك انت توصل لمادة جديدة لم يكتشفها أحد قبلك. حتى في الماجستير الي بعض الدول (زي مصر) بتشترط فيه بحث منشور ورسالة وبعض الدول لأ (زي أمريكا) ، فالهدف منه ليس انك تتعلم بحث علمي لكن الهدف انك تتعلم مادة جديدة.
لكن الدكتوراه هدفها الأساسي انك تتعلم كيف تكون باحثاً. وأنا دايماً بقول النقطة المهمة في الدكتوراه هي علاقتك بالمشرف عليك. هو الي حيعلمك تعمل بحث علمي ازاي ، تجيب الافكار ازاي ، تكتب بحث ازاي ، تنشر فين ، وهكذا.
علاقتك كطالب دكتوراه باستاذك المشرف عليك زي علاقة صبي الميكانيكي بالأسطى الميكانيكي. يفضل كدة ماشي وراه شايله العدة ويناوله مفتاح ١٨ ويتعلم منه بطريقة "زي ماتشوفني بعمل إعمل." آه صحيح وانت ماشي وراه أكيد حتتعلم مادة جديدة لكن مش هو ده الهدف الرئيسي من الدكتوراه.
ولذلك لما حد يسألني آخد دكتوراه في العلوم او الهندسة او الرياضيات دايماً بقوله بحسب انت ناوي على ايه بعد كدة. ناوي تشتغل في البحث العلمي وتنشر ابحاث وتألف كتب؟ خد دكتوراه. ناوي تشتغل في السوق من غير بحث علمي؟ كفاية الماجستير كحد أقصى.
ولذلك الدكتوراه ماينفعش في رأيي الشخصي انك تاخدها وتقف! هي مش نهاية المطاف بالعكس دي هي البداية. انت بتتعلم فيها كيف تكون باحثاً علشان تبطل بحث؟ لأ طبعاً ، انت بتتعلم كيف تكون باحثاً علشان تبدأ تكون باحث. حصولك على درجة الدكتوراه لمجرد الوجاهة العلمية تضييع وقت كان ممكن تحطه في ماجستير تاني مثلاً أو في مجهود يعملك كارير.
أقول قولي هذا وأستغفر الله لي ولكم.
*********************************************************
5-8-2022
استكمالاً للحديث عن درجة الدكتوراه
PhD
فيه حاجة تانية موجودة في لوائح الجامعات المصرية وبعض الجامعات العالمية اسمها
DSc
Doctor of Science
دي درجة بتيجي بعد الدكتوراه العادية وهي درجة تشريفية بمعني ان ماهياش امتحانات مثلاً او رسالة ومناقشة بس هي نوع من التشريف والتكريم للاستاذ الجامعي على مجمل اعماله بعد الدكتوراه. بعض الجامعات الغربية بتدي مسميات من هذا النوع زي مثلاً
Distinguished professor
او الاستاذية المتميزة. وتكون ايضاً تشريفاً للاستاذ علي مجمل اعماله. ممكن اعماله تكون بحثية وممكن تكون تدريسية وممكن تكون خدمية service.
هذه الاشياء تعتبر جوائز تكريمية اكتر من كونها درجات علمية زي الدكتوراه والاستاذية العاديين. وبتختلف مسمياتها من جامعة للتانية واحيانا فيه جامعات لا تعطيها اصلاً.
*********************************************************
5-8-2022
لاحظت إن تلاتربع الأسئلة الي بتجيني عن الظواهر الكونية أو حتى الظواهر الأرضية بتبقى نابعة من فهم خاطئ (ومفاجئ بالنسبالي) لموضوع نسبية السرعة.
السرعة في حد ذاتها مفهوم نسبي تماماً. لا يوجد شئ إسمه سرعة مطلقة أو سكون مطلق. ما هو ساكن بالنسبة لك متحرك بالنسبة لشخص آخر ، وما هو سرعته ١٠ كم في الساعة بالنسبة لك سرعته ٩٩٪ من سرعة الضوء لمراقب آخر. ولا يوجد سرعة "حقيقية" ، الإتنين حقيقيين والإتنين صح.
ركز بس في الحتة دي وإنت تعرف الإجابة على نص الاسئلة الي محيراك.
الموضوع ده بالنسبالي مفاجئ جداً لأن نسبية السرعة شئ معروف من قرون طويلة وبتدرسه في ثانوي ويمكن في إعدادي كمان. لكن الفكر الأرسطي بتاع السرعة المطلقة والسكون المطلق مسيطر عليك. ماتسيبوش يسيطر لأنه مش صح.
*********************************************************
5-11-2022
ريتشارد فاينمان عمل ثورة في "فهم" ميكانيكا الكم.
مضايقك قوي الدالة الموجية؟ مش مقتنع بالتفاسير المختلفة؟ مانعرفش مكان الالكترون الا في صورة احتماليات (كوبنهاجن) ، لأ لأ هو في كل حتة بس في اكوان مختلفة (تفسير العوالم المتعددة) ، لأ لأ مافيش كدة هو بس فيه حاجات تحتية مش عارفينها لسة (المتغيرات الخفية hidden variables ) وغيرها من محاولات الفهم الي كتب الپوپ ساينس ممتلئة بيها.
مش عاجبك كل ده؟ ما اقنعتكش ولا واحدة فيهم؟ خد عندك بقى تفسير ريتشارد فاينمان (واخد عليه نوبل) الي اتبني عليه نظرية المجال الكمومية الحديثة. الي هي اصلاً انجح نظرية فيزيائية في التاريخ.
شوف عمك فاينمان بيقولك ايه.
الالكترون عايز ينتقل من نقطة لنقطة. فيه عدد لانهائي من المسارات الممكنة والغير ممكنة. ممكن يمشي في خط مستقيم ، ممكن يلف في دايرة ، ممكن يمشي لآخر الكون ويرجع ، ممكن يتحرك اسرع من الضوء ، ممكن يمشي بعكس اتجاه الزمن. كلها مسارات ممكنة وغير ممكنة. عدد لانهائي من المسارات. كل واحد منهم ليه دالة اسمها الaction S ، فاينمان بقي بيقولك اجمع كل هذه المسارات اللانهائية في صورة التكامل path integral الي في الصورة دي تطلعلك الدالة الموجية كنتيجة لهذا التكامل.
يعني الدالة الموجية ليست احتمال لمسار واحد ولكنها مجموع كل المسارات الممكنة والغير ممكنة!!!!!!
علشان تبقي تسالني بعد كدة هو الالكترون ممكن يكون في اكتر من مكان في نفس الوقت 
اضافة: كلكوا بتفكروا كلاسيكياً ، ميكانيكا الكم غريبة فقط حين تحاول ان تتخيلها كلاسيكياً. اي سؤال حتسأله هو بالضرورة كلاسيكي ، المعادلات ضدك والتجارب ضدك والنتايج ضدك!! هي كدة ، تجيبها كدة تجيلها كدة هي كدة! ولذلك انا من الآخر من بتوع
*************************************************************
5-23-2022
الزخم الزاوي والعزم:
Angular momentum and torque demo
أو بمعني أخر: ليه مش بتقع لما تكون سايق العجلة؟
مرحباً بكم في مطبخي ، مطبخ الفيزياء
*********************************************************
5-25-2022
إلي بينكروا نزول البشر علي القمر دول كوميديين جداً ، أحياناً بيضحكوني أكتر من بتوع الأرض المسطحة. أحياناً ، مش دايماً. مازال المسطحين أحسن عندي من عادل إمام ونجيب الريحاني سوا.
يقولك إيه؟ لو ناسا راحت القمر ما راحوش تاني ليه؟
تقوله راحوا خمس مرات بعد المرة الأولانية.
بعد ما يتخض شوية لأنه ماكانش يعرف المعلومة دي ماشافهاش في ڤيديوهات يوتيوب يرجع يقولك:
لا لا ماهم لو كانوا راحوا فعلاً كانوا زمانهم رايحين جايين. وبعدين ماراحوش المريخ ليه ساعتها طالما نفس التكنولوجيا؟ ليه؟ هه؟ ليه؟
قفشتني إنت كدة.
يحسسك إن مشروع أپولو ده كان إختراع مايكروباص (مشروع للإسكندرانية) طالما راح العتبة مرة يقدر يروح تاني وتالت ويروح دار السلام والعباسية وأي حتة.
يابني يا حبيبي الصواريخ بتاعة ناسا لحد الثمانينات كانت بتتصمم لمهمة واحدة محددة. كل تفصيلة فيها معمولة للمهمة دي. مش معني إنها راحت القمر إنها هي نفسها تقدر ترجع تاني أو تروح المريخ مثلاً. فكرة إنك تعمل مركبة لتعدد المهام ماجاتش غير بعد كدة مع مشروع مكوك الفضاء ، إلي متصمم للرحلات القصيرة.
وعلي فكرة الحاجات دي بتيجي في صورة مشاريع محددة بيتحطلها ميزانية لإنجاز هدف معين. يعني ماهياش Star Trek مثلاً إلي سفن الفضاء فيها تقدر تعمل أي حاجة وتروح أي حتة بنفس التكنولوجيا.
دي كمان سياسات دول وميزانيات لازم الكونجرس يوافق عليها. وبعدين هم بيضحكوا عليك ليه يعني؟
إمسك عندك!!
شفت أهو ، الكونجرس بيديهم فلوس ، دول نصابين بيحطوها في جيوبهم.
إنت فاهم يعني إيه الكونجرس يديهم فلوس؟ هي ميغة كدة ياخدوا الفلوس يحطوها في جيبهم وماحدش واخد باله؟ دي لجان بتقعد تراجع وراهم وتشوف كل مليم راح فين ، وكل ده معلومات پابليك ، مفتوحة للجمهور يقدر أي حد يطلع عليها ، بل من حق المواطن الأمريكي إلي دافع الضرايب يطلع عليها لو عايز. أعتقد كمان ميزانية ناسا وأوجه الصرف بتتحط أونلاين للعالم كله.
وبعدين تعال هنا ، إنت فاكر إيه؟ فاكر إنها مبالغ يعني؟ أه كل مشروع بيتكلف مليارات لكن لما تعرف إن ميزانية ناسا كلها علي بعضها لا تزيد سنوياً عن نص في المية من الدخل القومي الأمريكاني حتلاقي إنها ولا حاجة. الفترة الوحيدة إلي الميزانية عليت عن كدة ووصلت لحوالي أربعة في المية كانت في الستينات علشان كنيدي إتشك في لسانه وأعلن إن حيحط إنسان علي القمر قبل نهاية الستينات. فدبس الحكومة في مصاريف ماكانتش عاملة حسابها فيها.
أخر حاجة حقولهالك إن رواد أپولو سابوا مرايات علي سطح القمر ، والإتحاد السوڤيتي كان بعت مرايتين بمركبة ألية ، ده غير إن الأجهزة المتسابة علي سطح القمر منها المركبة القمرية (زي عربية بست عجلات). كل دول تقدر تعكس من عليهم شعاع ليزر يرتد إلي الأرض وبإستخدامه بنعرف المسافة بكل دقة بيننا وبين القمر ، عرفنا إن القمر بيبعد عننا بمقدار حوالي تلاتة سنتي في السنة. شوف البحث المنشور المحكم في أول كومنت وروح راجع عليه وماتوجعش دماغي
*************************************************************
5-30-2022
"أنا قريت في مجلة علمية تصدر في امريكا اللاتينية" بصوت سمير غانم.
في الكام سنة الاخيرة الناس الغير متخصصة فهمت اخيراً يعني ايه مصدر علمي وخاصةً بحث منشور في مجلة علمية محكمة
Peer reviewed
ماشي حلو ، دي حاجة كويسة طبعاً.
بس المشكلة اني ابتديت الاحظ ان نفس الناس دي بقت بتستند علي الموضوع ده علي انه دليل ساحق ماحق. تيجي تقوله احنا عارفين ان كذا وكذا يقوم نافش ريشه وفارد صدره ويقولك بمنتهي الثقة "لا لا ده فيه البحث المحكم كذا وكذا بيقول كذا." ويعتبر كدة ان الموضوع انتهى.
لا يا حبيبي ، لا يا بابا ، لا يا عينيا.
ان بحث يتنشر في مجلة محكمة ده معناه بس ان البحث مشي مع المنهجية العلمية وان الباحث مش كفتجي لكن ده مش معناه ابداً بتاتاً البتة ان محتواه صح!!!
ليه بقى؟
لأن النشر هو البداية مش النهاية. لازم البحث يتعاد عليه ويتعمله
Independent verification
والحسابات تتعاد والفرضيات الي قايم عليها تتراجع والتجربة اذا كانت تجربة تتعمل مرة واتنين وتلاتة من ناس تانية والفيلم كله يتراجع ويحصله تفحيص وتمحيص ويتبني عليه وتطلع منه حواديت وقصص.
كل ده بياخد وقت وفين وفيييين لما نقول آه خلاص كدة محتوى البحث ده نقدر ناخد بيه ونضيف على علمنا وفهمنا للكون.
فلما حضرتك تيجي تقولي "يا دكتور اهو بحث جديد لسة طالع اول امبارح" ده عيب في البحث يا باشا مش ميزة! لان ماحدش لحق من اول امبارح يخضع البحث لكل الي فوق ده.
انت عارف فيه كام بحث في الفيزيا الاساسية (والعلوم بصفة عامة) بيطلع كل يوم؟ طيب عارف نسبة كام فيهم بيعمل تغيير حقيقي في فهمنا للطبيعة حوالينا؟
طيب والابحاث الي بنقرا عنها في الجرايد والمجلات العادية مش دول جامدين كيك كدة وبتاع؟ لا سيادتك مش معني انك قريت عن بحث معين في جريدة عادية انه احسن من غيره. نو ابسوليوتلي (بصوت اللمبي) ده بس معناه ان الصحفي عجبته الفكرة وحس انها حتبيع جرايد بس ادي كل الحكاية.
ودمتم.
*********************************************************
5-31-2022
مرة واحد من اساتذتي في مصر قال قدامي جملة استغربتها جداً. مش فاكر كان بيحكي علي ايه وبعدين قال
"يطلعلك عيل صغير لسة واخد الدكتوراه اول امبارح …."
انا ساعتها طبعاً قلت في نفسي؟ عيل؟ اول امبارح؟ دكتوووورااااااااه؟؟؟
بس لما انا بقي عدى عليا الزمن وضرب الشيب في رأسي زي ما بيقولوا فهمت اخيراً استاذي كان قصده ايه. الدكتوراه مش نهاية المطاف بالعكس تماماً الدكتوراه هي البداية. ان معاك دكتوراه ده معناه انك واحد اخد اقل تدريب ممكن لانك تقدر تعمل بحث علمي (شوف اللينك في اول كومنت). انما لسة بتبتدي ولسة حنشوف مجهودك في البحث والتدريس وتخريج اجيال و و و و
اه دكتوراه اول امبارح بلا خبرة مش كفاية.
*********************************************************
6-3-2022
ناس كتير ماتعرفش ان لينا اقمار صناعية مدارها اوسع من مدار القمر. والي اخد الصورة دي واحد منهم. طبعاً بالنسبة للمسطحين دي فوتوشوپ رسمي. القمر الصناعي الياباني هيماواري ٨ واحد تاني. ليه موقع علي النت بيعرضلك صورة كاملة للارض بياخدها كل عشر دقايق:
*********************************************************
6-5-2022
لو رحت الملاهي وركبت بتاعة من البتوع الي بيلفوا في الهوا دول ، زي المركب الي بتترمجح رايح جاي او البساط الطائر. افضل طريقة انك ماتحسش بالدوخة وتستمتع اكتر انك تسيب نفسك تماماً. بمعني انت اوكيه مربوط بالفعل علشان الامان ، بس سيب جسمك ، رخيه تماماً ، ما تمسكش في العارضة الي قصادك او في الكرسي.
عارف ليه؟
لان كدة جسمك معظم الوقت حيبقي قريب جداً لحالة سقوط حر ، يعني حتحس انك مش بتتحرك أصلاً لكنك كما لو كنت معلق في الهوا بلا جاذبية. وده احساس احلى واجمل من الاحساس التاني صدقني وعن تجربة. وعايز يبقي احساسك اجمل كمان؟ غمض عينيك
*********************************************************
6-15-2022
تعليق عند دكتور هشام سلام. صاحبه بيسخر وبيتريق بس الكلام صحيح. اه اكيد د. هشام اعلم من دارون في التطور. زي مانا اعلم من نيوتن في الميكانيكا بتاعة نيوتن. ليه؟ لان الناس دي ماتت من زمان ومن ساعة ماماتوا العلوم الي هم اسسوها كبرت وترعرعت وبقت اكبر واعمق بكتير من اياميهم. وطلبة سنة تالتة عندي عارفين ميكانيكا اكتر بكتير من الي عرفها نيوتن نفسه عادي.
طيب ليه الناس مش مدركة الحقيقة البديهية دي؟ لانهم متعودين علي فكر مختلف. في العلوم الانسانية مثلاً ، زي الفلسفة وعلم الاجتماع وغيرها ، المواضيع ممكن تكون قائمة على فكر الاشخاص. يعني انت لما تدرس فلسفة بتدرس فكر ديكارت وشوبنهاور ونيتشة ، مثلاً يعني. فما ينفعش تقول انك اعلم من نيتشة في فكر نيتشة. لكن في العلوم التجريبية احنا بندرس مواضيع اسسها اشخاص لكنها لم تتوقف عندهم. فنقدر نقول بكل ثقة اننا اعلم من نيوتن في ميكانيكا نيوتن لانها موضوع مش فكر فردي ، موضوع كبر وتوسع اكتر بكتير جداً من ايام مؤسسه ، حتي لو فضلنا نسميه بإسمه. ياجدعان ده لو نيوتن صحي من تربته وجالنا حندخله سنة اولى فيزيا يدرس من اول وجديد. ده حتى المواضيع الاساسية في فيزيا ثانوي لغتها اتغيرت عن اياميه.
من نفس المنطق كنت كتبت قبل كدة بوستات عن الكتب. انا ماقريتش كتاب نيوتن ولا ناوي اقراه. ودكتور هشام كان مرة قال انه ماقراش اصل الانواع لدارون. لانها كتب عفا عليها الزمن ومش حندرس منها العلوم الي هي بتأسسها. دور علي البوستات دي علي بروفايلي لو عايز تعرف اكتر.
*********************************************************
6-18-2022
أحياناً العلماء بيحبوا يطلقوا أسماء علي حاجات علمية بس للأسف بتطلع أسماء مضللة. خصوصاً إن إحنا كبشر عندنا الرغبة إننا نِحَمِل الإسم معاني لا تحتمله. وأحياناً دي بتسبب مشكلة وبتطلع عينينا إحنا في الشرح والتوضيح. علي سبيل المثال
جسيم الإله The God Particle
لوصف جسيم هيجز ، وده للأسف بسبب ناشر كتاب بنفس الإسم للفيزيائي Leon M. Lederman
وهو كتاب كويس جداً لكن للأسف الناشر هو إلي صمم علي الإسم علشان يبيع نسخ. والإسم لزق ومش عارفين نخلص منه.
وأظن في الأحياء برضه فيه حاجة إسمها
The God Gene
مصيبة تانية.
ده غير بقي
Creation and annihilation operators
في ميكانيكا الكم إلي والله العظيم ولا ليكوا عليا حلفان مالهمش أي علاقة بالخلق والفناء إلي في تفكيركوا!!!
وعندك ديناصور هابيل ، إلي متسمي علي إسم العالم إلي إكتشفه أول مرة
Abel
ومالوش أي علاقة بهابيل وقابيل.
علي فكرة إحنا عندنا في الفيزيا حاجة إسمها
Abelian Theories
non-Abelian Theories
إلي متسمية علي إسم عالم رياضيات معروف. تبقي إيه دي بقي في الترجمة؟ الرياضيات الهابيلية والغير هابيلية؟ رسالة الماجستير بتاعتي كانت إسمها
The time evolution of unstable non-Abelian magnetic monopoles
وبسبب لوايح الجامعات المصرية كان لازم أترجمها ، بس ترجمتها "الغير آبلية" ماجاش في بالي خالص موضوع هابيل ده 
ماعلينا ، خلوا بالكوا من موضوع الترجمات ده. أحياناً بيبقي كارثي.
*********************************************************
6-18-2022
"العلم متغير ، ماينفعش نعتمد عليه."
لو معايا جنيه (كان زمان بنقول قرش بس الله يرحمه بقي) عن كل مرة سمعت فيها الجملة دي أو متغيراتها كان زماني أغني من بيل جيتس. طبعاً الجملة دي بتتقال في سياق المقارنة بين العلم والدين. بغض النظر عن إن المقارنة دي ظالمة للإتنين ومش صح أصلاً ، خليني بس أعلق علي حتة العلم متغير دي. للمرة المليون علشان نخلص.
شوف يا باشا ، حصدمك معلش ، العلم مش متغير. العلم بيتوسع وبيكبر لكن مافيش حاجة إسمها حنصحي في يوم نلاقي نظريات إمبارح في الزبالة. بس خلينا واضحين ، إحنا بنتكلم عن العلم زي ما بقي علم في ال400 أو 500 سنة الأخيرة. من ساعة ما جاليليو خلصنا من سيطرة الفكر الأرسطي. العلم بقي تجربة ورصد وبرهان ، وفي حالة فروع كتيرة بقي رياضيات كمان. يعني ماتجيش تقولي مثلاً مانتوا كنتو بتقولوا الأرض مسطحة أو مش بتلف وغيرتوا رأيكوا. الكلام ده كان زمان قبل الفترة إلي بكلمك عنها دي. منهجية العلم بقت قوية جداً ومابقاش فيه الكلام ده.
المنهجية العلمية إلي حطها جاليليو وتوسع فيها من تلاه من علماء بقت من الدقة بحيث إنك لما تيجي تقولي العلم بتاعكوا متغير أقولك لأ ، مش متغير. خلاص ثبت. بس إنت إلي أحياناً بتخلط أمور في بعضها. لأن عندنا حاجات ثبتت خلاص بعد سنين من التجربة والرصد والتحليل والفحص والتمحيص. زي ميكانيكا الكم والنسبية والبيج بانج والمجالات الكمومية وكمان التطور وغيرها من المواضيع. لكن برضه عندنا فرضيات ليها قوتها لكن حتفضل فرضيات إلي إشعار أخر زي نظرية الأوتار. لما تيجي بقي تخلطهم ببعض إنت إلي عندك المشكلة مش إحنا.
من الأمثلة المشهورة إلي أحياناً ناس تحدفها في وشي علي أساس دليل قاطع هي موضوع ال
Steady State Universe
أيوة صحيح كان فيه فرضية من ميت سنة إن الكون المسافات فيه ثابتة مش متغيرة ، لكنها كانت فرضية قائمة علي الرصديات وقتها ، وكانت تكنولوجيا التلسكوپات والتحليل الطيفي ضعيفة لسة. لكن أول ما الأدلة الرصدية أثبتت إنها مش صح إترمت في الزبالة فوراً. وللعلم بالشيء ماكانش حد بيقول إن الكون ثابت بصورة قطعية إطلاقاً. كل العلماء كانوا فاهمين إنها فرضية إلي أن يصدر إشعار أخر. أه بعضهم في الأول لم يقتنع بالأدلة (زي فريد هويل) لكن بمرور الوقت وتراكم الأدلة إقتنعوا طبعاً. ده مش معناه إن العلم متغير إطلاقاً. كل الحكاية إن بيبقي فيه فترات مابين الأدلة الرصدية الناس بتقعد تتخيل فيها لكن أول ما الأدلة تظهر بيمشوا في الإتجاه الصحيح عادي. إنما نظام متغير بالمعني إلي في دماغك ده فهو مش صحيح.
ودمتم.
*********************************************************
2-13-2023
بقلب في مقالات اونلاين بعتوهالي ناس من مواقع محترمة جداً زي موسوعات ومواقع تبع ناسا ، بيتكلموا عن الكون والانفجار العظيم. ابتديت افهم ليه فيه فهم غلط للنظرية. لان حتي المواقع دي بتقول حاجات مش دقيقة خالص ، جمل زي التلاتة دول:
The universe started very small
مش صحيح القول اننا نعلم ذلك يقيناً. ما نعرفه هو ان الكون المنظور بدأ صغيراً ، لكن اهمال كلمة "المنظور" بيعمل سوء فهم لاننا في الواقع لانعلم فعلياً اي شيء عن الكون ما وراء المنظور ووارد جداً يكون لانهائي ، واذا كان لانهائي فهو كان دائماً لانهائي.
Time and space started at the big bang.
بغض النظر ان مصطلح بيج بانج انا اصلاً مش طايقه ، فان القول بهذه الثقة ان المكان والزمان فعلياً بدأ لهو قول خاطئ لاننا ايضاً لا نعرف. ولا يوجد عندنا اي نظريات مثبتة معملياً تدينا اي فكرة هل الزمكان بدأ او هو لانهائي.
The universe expanded (or exploded which is worse) from a singularity.
ده برضه كلام مش دقيق لانه بيوحي ان السينجيولاريتي دي شئ حقيقي او جسم ما لكن الواقع انها ليست كذلك. السينجيولاريتي هي مصطلح نصف بيه حالات في الفيزياء المعادلات بتضرب فيها وتدي نتايج غير معرفة او لانهائية ولا يقول احد ابداً ان ده الي بيحصل في الواقع. المعادلات بتدي النتايج دي فقط لان النظريات المنطلقة منها بتصل الي حدود تطبيقها وتبطل تشتغل. ادي كل الحكاية.
وغيرها كتير.
المشكلة فين؟
المشكلة ان بتوع الكونيات الكوزمولوچيين بينطلقوا من
Working hypothesis
يعني فرضيات علشان بس يعرفوا يشتغلوا ، الي منها الي فوق دول ، ولكنها ليست الا فرضيات. نحن لا نعلم اي شئ عن بدايات الكون من عدمها ولا نعلم أي شئ عن حجم الكون ككل بل ان كل الاحتمالات ممكنة بما في ذلك المالانهايات.
فخلوا بالكوا وانتوا بتقروا الموجود اونلاين.
*********************************************************
9-27-2022
"الطاقة لا تفنى ولا تستحدث من العدم."
الجملة دي منتشرة وكلنا حافظينها صم ، وهي دي الصورة الي درسناها في ثانوي.
اكتشفت انا بقي بعد ما دخلت المدعوق الكلوبهاوس ان مصطلح كلمة "عدم" مستخدم كتير في الفلسفة (&$*^) وليه كما يبدو تعريف عندهم ، وكل ماحد دارس شوية فلسفة يشوف كلمة عدم يطلعلي منها باستنتاجات عجب العجاب.
الحقيقة يا جماعة ان مافيش في الفيزيا حاجة اسمها عدم بالفهم الفلسفي اصلاً. يعني عندنا فراغ
Vacuum
معناه حيز في المكان لا يحتوي علي شيء لكنه حيز مكاني ويمر عليه الزمن عادي. انما عدم عدم يعني مافيش حاجة خالص ولا مكان ولا زمان ولا ايتها حاجة معندناش. اقحام كلمة عدم (وكمان بالالف واللام) في القانون الاول للديناميكا الحرارية عمل مشكلة عند المتفلسفين. دي ترجمة غبية للنص الاصلي (شوف تحت) للاسف لزقت وعملت مشاكل. وده عيب الي بيقرا pop science ويعتقد ان المصطلحات الي فيه ليها اي علاقة بمصطلحات معارف تانية.
ودمتم
The first law of thermodynamics states that the total energy of a closed system remains constant, even if it is converted from one form to another.
*********************************************************
3-13-2023
من مشاكل العلوم باللغة العربية إن التراجم بتسبب مشكلة. خد عندك مثلاً كلمة "جاذبية" ، ترجمتها إيه؟ حسب السياق. ممكن تبقي
Attraction
وممكن تبقي
Gravity or gravitation
أحياناً بيحاولوا يتفادوا المشكلة دي ويخلوا التانية إسمها "الثقالة" ، بس في رأيي إن دي مصيبة تانية لأن الثقل بمعني
Weight
أو وزن مش هو بالظبط المقصود بكلمة الجاذبية ولكنه مشتق منها. مشكلة تانية كمان إننا حفظنا من صغرنا جملة علي بعضها: الجاذبية الأرضية. يعني خلط في خلط. الشخص إلي بيحاول يفهم بس ما درسش المواضيع دي باللغة الإنجليزية للأسف بيعتمد علي إلي حفظه ويدخل الأمور ببعضها. من المشاكل إلي بتنشأ:
الجاذبية قوة مرتبطة بكوكب الأرض فقط.
الجاذبية بتخلص بعد إنتهاء الغلاف الجوي.
الجاذبية إنحناء في الزمكان بس محدش فاهم يعني إيه الزمكان ولو حاول يفهم يوصل خطأ إنه مفهوم إعتباري وليس حقيقي. طب منين إعتباري ومنين بينحني؟ مايعرفش.
الجاذبية الأرضية قوة جاية من مركز الأرض وفيه حاجة في المركز بتشد ، لو فضينا المركز من الحاجة دي حنطير في الهوا (أه والنعمة إتقالتلي مرة)
الجاذبية لا دليل عليها ، دي مجرد نظرية.
وخد عندك مليون حاجة تانية.
مش عارف المشكلة فين الحقيقة ، هل المشكلة في اللغة؟ ولا في الترجمة؟ ولا في نظام التعليم؟ ولا فينا إحنا إننا بنتسرع وبنفتكر نفسنا فهمنا لمجرد شوية معرفية بسيطة من أيام ثانوي؟
مش عارف.
*********************************************************
3-13-2023
حوار لطيف مع واحد مسطح بينكر وجود الجاذبية. تحداني الاستاذ اعرفله يعني ايه الزمكان واجيبله معادلة للجاذبية ، ولسان حاله بيقول ان مافيش معادلة اصلاً. لما قلتله التعريف (اول صورة) وجبتله المعادلات (تاني وتالت صور) قالي ساخراً "آه ماهو طالما حاجة مش مفهومة تبقي اكيد صح."
قلتله ان المشكلة مش في انها مش مفهومة ، المشكلة انك انت مش عايز تتعلم. اي انسان ، اي ي ي انسان ، يقدر يتعلم ويفتح الكتب ويذاكر ويروح ياخد كورسات وان آجلاً او عاجلاً حيفهم. ولو عايز كمان يعمل التجارب الي بتأكد الكلام ده ممكن. لكن انت مكسل ، انت مش عايز تقوم من قدام اليوتيوب وتتعلم بجد ، انت رافض انك تبذل اي مجهود. العلم صعب؟ آه صعب! عايز مجهود وعايز شغل وعايز سنين. لكن الرحلة جميلة في حد ذاتها والوصول للهدف ممتع. انت فايتك كتير. ليه؟ مش علشان احنا عاملين عليك مؤامرة ، لكن بمنتهى البساطة انت كسول. نقطة ومن اول السطر.
*********************************************************
5-14-2023
طيب نقول شوية:
العلم التجريبي الحديث مش قائم على نظام انت حافظ قد ايه؟ بمعنى مش مهم الفيزيائي يبقى حافظ قيم الثوابت الفيزيائية مثلاً او الكيميائي يبقى حافظ الجدول الدوري. بالعكس حتلاقي معظمنا مش حافظ الحاجات دي. الاهم من المعلومة هو معنى المعلومة ، وقيمتها كدة ليه؟ والمنهجية العلمية الي جابت المعلومة.
ايه اهمية انك تبقي حافظ كام كوكب في المجموعة الشمسية؟ الاهم انك تعرف هو ليه فيه كواكب واتكونوا ازاي والقوانين الفيزيائية الي حكماهم وهكذا. انما معلومة اقدر اجيبها من علي جوجل ماتهمش معظمنا.
*********************************************************
8-18-2023
بحب من وقت للتاني اعمل صدمة للناس كدة بموضوع محدد:
قانون بقاء الطاقة ليس مطلقاً!!!!
اتصدمت؟
جه في بالك ايه؟ ميكانيكا الكم؟ لا هو متحقق فيها. النظرية الي فيها المشكلة هي النسبية العامة. لم يستطع احد الي يومنا هذا ان يضع تعريف رياضي دقيق لبقاء الطاقة في النسبية العامة. المشكلة هي في الزمكان نفسه. هل له طاقة؟ معظم الناس بتقول اكيد له طاقة ، طيب نحسبها ازاي؟
صوت صرصور الحقل
طب نُعَرِّفها ازاي؟
نقدر نعرفها في حالات الجاذبية الضعيفة عند نيوتن بس التعريف عموما؟
صوت صرصور الحقل
طب هل فيه ظواهر مرصودة للموضوع ده؟ اه فيه.
بتفسروها ازاي؟
الصرصور برضه.
حضع مقال تبسيطي لشون كارول في اول كومنت. بس الواقع عندنا النهاردة ان قانون بقاء الطاقة هو قانون محلي local وليس قانون شامل global ، وعلي فكرة ده كمان ينطبق علي الانتروبي ، ولكن لهذا حديث آخر.
*********************************************************
9-21-2023
الجماعة بتوع الرياضيات بيفرقوا ما بين ال
Sphere - S
وال
Ball - B
المقصود بالأولى هو السطح والثانية هو المحتوى الذي يحيط به السطح.
بمعنى لو اخدنا المثال العادي بتاع الكورة. سطحها اسمه
S2
لان كل نقطة عليه محتاجة رقمين فقط لتحديد مكانها ، مثلاً خطوط الطول والعرض. يكفيك تعرف الرقمين دول لتحديد اي نقطة علي السطح الكروي.
الي جوا السطح يبقي
B3
لان اي نقطة محتاجة تلات ارقام لتحديدها ، مثلاً خطوط الطول والعرض زائد رقم يعبر عن العمق.
لو اخدنا الكرة الارضية كمثال حتتفهم.
طيب ناخد بقي الفكرة ونعممها علي مثلاً الدايرة. "سطحها" هو خط الدايرة نفسه وهو
S1
وداخلها
B2
فكر فيها شوية كدة وارجعلي.
فكرت؟
طيب ايه هو ال
S0
وداخله
B1
لو كنت فهمت المثالين الاولانيين حيتضح ليك ان الاخراني ده ليس الا نقطتين علي خط مستقيم.
معاك ربنا بقي لما تحاول تتخيل
S3
B4
او
Sn
B(n+1)
بس عايز اقولك ان اي "كورة" في اي مستوي من دول فيه معادلات لتصف سطحها S وعمقها B بما في ذاك المسطحات والاحجام وخلافه. بالرغم اننا غير قادرين علي تخيلها بس بنشتغل بيها عادي. بتبان الحاجات دي فين؟ بتبان في فيزياء الابعاد العليا زي نظرية الاوتار. وبنشتغل بمعادلاتها عادي مع اننا مش عارفين نتخيلها. وبنقعد نحسب مسطحات واحجام لكور في اي عدد من الابعاد. مش عايز الخبطك اكتر واقولك ان الفكرة دي في الهندسة الاقليدية متعددة الابعاد ليها تعميم في الهندسة اللااقليدية وبتظهر في النسبية العامة بكثرة (مشروحة في كتابي).
شوف مقال الويكيبيديا ده للتفاصيل.
*********************************************************
2-8-2024
صورة من كتاب
Introduction to Quantum Mechanics
by D. J. Griffiths
أول مرة اخد بالي من النص ده ، مع إني مش أول مرة أدرس كورس من كتابه. ده بالظبط إلي بحاول أفهمه للناس إلي لم تدرس ميكانيكا الكم ، أو في الحالات الأسوأ السادة المتفلسفين. لو معايا دولار علي كل مرة حضرت نقاش إتقال فيه كلام من نوعية "إنتوا يا بتوع الفيزيا مش فاهمين حاجة ومش قادرين تحددوا هو الإلكترون جسيم ولا موجة" أو "الإلكترون يستطيع التواجد في مكانين في نفس الوقت" كان زماني بقيت ملياردير.
خليني أحاول أترجم كلام جريفيث ، إلي هو نفس رأيي بالظبط:
بيقول:
"بالنسبة للغير متخصص ، أو الفيلسوف ، أو الفيزيائي الكلاسيكي جملة من نوعية: 'الجسيم ليس له تعريف محدد للمكانية ، أو الزخم ، أو أو (بمعني أنه لا وجود أصلاً لهذه المفاهيم)' شكلها غير واضح كما لو كنا مش عارفين نشرح أو شكلها فاشل كما لو كنا مش عارفين نفسر أو شكلها علي مستوي أعلي من اي فهم. المشكلة إن هذه الجملة ليست أيا من هؤلاء ، لكن معناها الحقيقي من المستحيل توصيله إلي أي أحد لم يدرس ميكانيكا الكم بعمق!!"
وأضيف أنا إني متفق إن الجمل من النوع دي ليها معني ، ومعني محدد وواضح ودقيق جداً ، ولكن من المستحيل أقولهولك!! مش علشان انا مش فاهمها أو فاشل في الشرح لكن لأن علشان اقولهولك محتاجك تيجي عندي تدرس الموضوع بدقة متناهية علي مدار سنتين تلاتة علي الأقل (علي أقل الأقل) من رياضيات وتجارب الفيزياء علشان تبتدي تفهم إنت معني جمل من هذه النوعية. حتي بعض الدارسين أحياناً بيواجهوا مشاكل في الفهم لأنهم بيفشلوا إنهم يتخلصوا من كلاسيكية التفكير. وكما أقول لتلامذتي دايماً: إنت عمرك ما حتفهم ميكانيكا الكم بالشكل الكلاسيكي إلي نفسك فيه ، أقصي ما يمكن أن تفعله هو إنك تتعود عليها.
*********************************************************
2-20-2024
Another gem from Griffiths book on Quantum Mechanics.
من أكتر المفاهيم المغلوطة في ميكانيكا الكم هي القول إن الطبيعة تسمح بخرق قانون بقاء الطاقة بشرط أن تكون الفترة الزمنية المسموح بها لذلك قليلة. الكلام ده مش صحيح إطلاقاً. ميكانيكا الكم مافيهاش خرق لقانون بقاء الطاقة لا في فترات قصيرة ولا طويلة ، مع خالص الإعتذار لمشاهدي اليوتيوب وقارئي كتب الفلسفة وخريجي كليات الأداب قسم فلسفة العلوم.
*********************************************************
2-21-2024
المعادلة إلي في الصورة الأولي 3.70 بيتم ترويجها في مصادر كتير علي إن معناها إن ميكانيكا الكم تسمح بخرق قانون بقاء الطاقة بشرط إن هذا الخرق يكون في فترة زمنية محددة. يعني تلاقيهم بيقولوا إن الطبيعة ممكن "تخلق" طاقة بمقدار
ΔE
بس لازم تفنيها في فترة زمنية
Δt
بحسب المعادلة. بل إنك تلاقي الكلام ده للأسف في بعض الكتب الأكاديمية إلي كاتبها فيزيائيين متخصصين ، لأنهم يا إما مش عارفين يوضحوا أو لأنهم مش متخصصين قوي فما شافوش الإثبات الرياضي للمعادلة إلي هو مافيهوش أي حاجة إطلاقاً تقول إن ده بيحصل ، أو هم فاهمين غلط وللأسف بتعدي. وعلشان اوضح الموضوع خلينا نقول إيه إلي بيحصل. المعادلة دي يتم إستنتاجها من قوانين ميكانيكا الكم الدقيقة جداً جداً. وبالإطلاع علي الإستنتاج (كما في الصور) بتاعها نجد إنه بيقول التالي:
إفترض إن عندك قيمة من القيم إلي عايز تقيسها في المعمل ، ولنقل مثلاً سرعة جسيم أو زخمه. أي شيء قابل للقياس ، خلينا نسميه شيء مشاهد أو
Observable
ميكانيكا الكم مش بتتنبأ بالقيمة الدقيقة إلي حتلاقيها ، لكنها تتنبأ بمتوسط عدد كبير من القراءات لنفس الخاصية. خلينا نسميها
The expectation value of the observable
المعادلة بتقول إن معدل تغير هذا المتوسط يأخذ وقتاً معيناً ، وفي نفس الوقت تتغير دقه قياس طاقه هذا الجسم (The standard deviation of energy measurements). المعادلة بقي بتقول إن لدقة قيمة طاقية معينة ΔE يتغير هذا المتوسط في وقت مقداره Δt. بمعني إن لو تغير دقة قياس الطاقة الكلية لهذا الجسيم صغير يكون معدل تغير متوسط الخواص المشاهدة بطيء ، يأخذ زمن طويل. والعكس بالعكس.
ده إلي المعادلات بتقوله ، ولا فيها طاقه بتخلق من عدم ولا بتفني ولا حاجة. الصور فيها إثبات هذا من كتاب جريفيث وتعليق المؤلف عليه ، إلي هو بالفعل أجمل ماقرأت في شرح هذا الموضوع الشائك.
طيب أمال المفهوم الخاطيء ده جه منين؟ ده جه من ميكانيكا الكم النسبوية ، أو مايسمي بنظرية الحقول الكمية. لأن هناك فيه ظاهرة إسمها طاقة الفراغ. هذه الطاقة ممكن أن يخرج منها جسيمات إفتراضية ، وهذه الجسيمات تفني بعضها البعض وترجع مقدار طاقة الفراغ في زمن هو نفسه الموجود في المعادلة. لاحظ إن مافيش خلق للطاقة من عدم ، هي طاقة يتم أخذها من طاقة الفراغ إلي هي بالفعل موجودة. يعني الطاقة محفوظة وكله تمام. علي فكرة فكرة إن هناك جسيمات إفتراضية تظهر ثم تفني بعضها هي مش دقيقة قوي لأنها في الواقع تقريب كلاسيكي لظاهرة تذبذبات في الحقول الكمومية من الممكن إعطاءها تفسير جسيمات إفتراضية ، لكنها في المعادلات ليست هكذا بالظبط ، ولكن لهذا حوار أخر.
تخاريف الويك إند:
العلوم وصلت لمرحلة إننا دلوقتي بنصنف أساسيات العلم. بمعني إن كل علم من العلوم ، ومعاها الرياضيات كمان ، قائم علي مجموعة من القواعد الأساسية إلي إتفقت الأبحاث كلها عليها أنها صحيحة ومرصودة. خليني أوضحلك بأمثلة.
الفيزياء مثلاً ، علم كبير جداً وواسع ، مافيش فيزيائي يقدر يدعي إنه عارفه كله ولا نصه حتي. ولكن كل الفيزيائيين عارفين إن كل فروع الفيزياء قائمة علي أساسيات وهي:
ميكانيكا الكم ، النسبية الخاصة ، والنسبية العامة. بمعني إن أي بحث جديد بيفترض أصلاً صحة هؤلاء الثلاثة. ولو سيادتك قدمت بحث فيه خرق لأي قاعدة من قواعد التلاتة دول يبقي حاجة من إتنين ، يا إما إنت غلطان (وده الأغلب) يا إما عندك دليل قوي جداً جداً جداً (لحد السنة الجاية) علي إختراق هذه القاعدة. والدليل ده في حد ذاته يبقي بحث منفصل لو طلع صحيح بعد التدقيق والتفحيص يبقي تقدر تضمن جايزة نوبل لأنك إكتشفت حالة لا تنطبق فيها القواعد الأساسية وفتحت باب جديد للتوسع في العلم. حاجة زي كدة بتحصل كل ميت سنة مرة ولا مرتين. يعني أخر مرة حصل فيها خرق للقواعد الأساسية كانت في أوائل القرن العشرين لما ميكانيكا الكم والنسبية نفسهم ظهروا. حالياً عندنا ظواهر بتقولنا إن فيها حاجات جديدة ممكن تخرق القواعد الأساسية وتفتح مجال لتوسيع هذه القواعد وتعميمها. مثلاً تسارع التوسع الكوني بيقولنا إن فيها حاجة ناقصة في فهمنا للنسبية العامة.
الكيمياء: كلها علي بعضها كدة قائمة علي أساسيات ميكانيكا الكم. الأسباب إلي تخلي التفاعلات الكيميائية تحصل بالطريقة المرصودة هي أسباب فيزيائية بالأساس ، لأن ليها علاقة بمستويات الطاقة للإلكترونات في الذرات والجزيئات إلي بتتفهم بميكانيكا الكم.
الأحياء: كلها علي بعضها كدة قائمة علي التطور البيولوجي للأحياء وألياته القائمة علي النشوء والإرتقاء. إلي بدورها قائمة علي علم الجينات إلي أساسه كيمياء إلي أساسها فيزياء.
الجيولوجيا: قائمة علي أساسيات الكيمياء وعلوم الأرض بما فيها ظاهرة الصفائح التكتونية وحركاتها إلي فسرت حاجات كتير جداً في التكون الجيولوجي للكوكب ، وبيخش فيها تأثيرات كيميائية وفيزيائية كتيرة.
أخيراً وليس أخراً الرياضيات القائمة علي أساسيات المنطق ، الرياضيين كل شوية يحاولوا يضعوا أساسيات أكثر عمقاً من ما قبلها. مثلاً set theory and category theory.
الشيء المذهل بقي لما تلاقي ناس مش عاجبها الأساسيات ، ومقتنعة إنها لقت فيها أخطاء وإنها مستحيل تكون صحيحة. الأمثلة الصارخة علي ذلك كثيرة ، لكن من أهمها الهجمات المشهورة علي التطور البيولوجي ، ويليها محاولات بعض العلماء الزائفين لتفنيد النظرية النسبية. هذه المحاولات فاشلة تماماً لأنك لما تتابعها حتلاقي إنها دايماً قايمة علي حاجتين: أولاً الجهل التام بكل ما ذكر أعلاه بأدلته وبراهينه وأبحاثه وتطبيقاته علي مدار أكتر من مئة سنة ، ثانيها الأدلجة الفلسفية أو الدينية ، ودي عادةً أيضاً بتنشأ عن جهل من نوع أخر.
ودمتم.
*********************************************************
4-10-2024
* دكتور دكتور.
* نعمين.
* هي الذرة شكلها ايه؟
* شكلها كدهو (ويشاور علي السبورة).
* انا مش فاهم حاجة ، ده عمل سفلي ده؟
* لا دي الرياضيات الي بتصف بدقة ذرة الهيدروجين. وهي الذرة الوحيدة الي عارفينلها معادلات. اي ذرة تانية المعادلات تقريبية.
* طيب مش لو رسمتوا المعادلات دي حيطلع شكل؟
* أشكال مش شكل واحد. الي هي بنسميها "السحب الاحتمالية للالكترون."
* طيب خلاص يبقي الاشكال دي هي شكل ذرة الهيدروجين.
* لا والله مكانش يتعز. الاشكال الي بتطلع مش شكل الذرة بالمعني التقليدي الكلاسيكي. بس برضه بنرسمهم زي الي انت شايفه في الرسومات التانية ، بس والنبي متاخدش الرسومات دي حرفياً علي انها شكل الذرة ، هي مجرد تمثيل رياضي لاحتماليات تواجد الالكترون فقط في حالات مختلفة. بس تعرف ، حريحك برضه ، فيه تقنية لطيفة اسمها الميكروسكوب الكمي ، باستخدام تداخلات معينة للالكترون مع مجال كهربائي بنقدر "نصور" اشكال السحب الاحتمالية وبتطلع زي الرسومات بالظبط. يلا ححطلك لينك في الكومنتات.
* مرسي يا دكتور ، قولي بقي ، ميكانيكا الكم دي مجرد نظرية صح؟
* بلوك!
لينك البحث:
*********************************************************
4-30-2024
الاسبوع ده آخر اسبوع من كورس "مقدمة في ميكانيكا الكم." حفتقد الكورس ده والله. نهاية الكورس كلام حول مايسمي بالعربي (أعتقد) اللف المغزلي
Spin
في رأيي ان الموضوع ده هو قمة الغموض في ميكانيكا الكم العادية وبداية غموض اعمق.
ملخص القصة إن عندك حاجة بتلف ، بس ولا هي "حاجة" ولا هي "بتلف" 
رياضياتها متجردة abstract عايشة في فضاء رياضي متعدد الأبعاد. مليانة superposition وتشابك كمومي وكل الي انت بتسمع عنه ده. صحيح لما تدرس ميكانيكا كم نسبوية شئ من الغموض الي حول الspin بيزول لانك بتفهم عمق الموضوع ومصادره بس ده بيفتح تساؤلات اكبر واعمق. ماهو سر الoperators؟ ما هو سر الcommutators؟ وما هو سر الanticommutators؟ جاية منين؟ symmetry groups؟ Hilbert spaces؟ كسبنا صلاة النبي ، هو انا يبني فاهم الاولانية لما تقولي التانية؟
وهكذا ، بئر عميق لا يبدو له نهاية من رياضيات العن من الي قبلها. عالم مظلم تدخله ماتشوفش حاجة ، لكن ايديك بتتحسس ما حولك. طيب حد ينور النور طه! يقولك لا نور ايه ، ده مافيش نور اصلاً. إنت آخرك تحسس.
وكل ده يبتدي من الspin الي انا بنهي بيه الكورس دلوقتي والطلبة الغلابة مش عارفين ان ده بس مدخل البير مش قاعه.
*********************************************************
5-1-2024
منتشر قوي فيديوهات بتوريلك بعض السياح في دول زي اوغندا واكوادور في المناطق الي علي خط الاستواء وهم بيتفرجوا علي ظاهرة مشهورة قوي وهي ال
Coriolis effect
التاجر (الي بياخد منك فلوس طبعاً) يوريلك جردل فيه فتحة في قاعه ويصب فيه مية وتشوف بعينك ان المية بتلف مع عقارب الساعة وهي بتنزل من الفتحة وانت شمال خط الاستوا وبعدين التاجر ياخد الجردل يعدي بيه خط الاستوا علي مسافة مترين تلاتة ويوريلك المية بتلف في الاتجاه المضاد واحيانا يحط الجردل فوق خط الاستوا نفسه ويوريلك ان المية بتنزل بدون دوران.
وفيه خبر تاني ان المية بتنزل في التواليتات لما تشد السيفون برضه في اتجاهين مختلفين بحسب انت شمال ولا جنوب خط الاستوا.
ده كلام فارغ يا باشا. بيضحكوا علي السياح وبياخدوا فلوسهم.
صحيح ما يسمي تأثير كوريوليس هو بالفعل واقع لكنه بيعتمد في حركته علي سرعة المية او الشئ المتحرك ولما يكون السرعة قليلة زي مية بتنزل في جردل او في التواليت بالاضافة لانها بتتحرك مسافات قليلة جداً يصعب معها تراكم التأثير فان مستحيل انك تشوفه في جردل صغير. ده غير ان الفرق في المسافة بين النقطة الاولانية الي بيحطلك فيها الجردل والنقطة التانية قليل جداً جداً من المستحيل معاه انك تشوف فرق.
تأثير كوريوليس بيبان في ايه؟ بيبان في اتجاه حركة الاعاصير. حاجة سريعة وعلي مسافات شاسعة وبيبان كمان في المقذوفات بعيدة المدى.
فيه قصة لطيفة وحصلت بالفعل ان في حرب جزر الفوكلاند بين انجلترا والارجنتين في التمانينات من القرن العشرين كانت مقذوفات الانجليز بتحود في اتجاه مخالف عن الي بيصوبوا فيه ، لحد مافتكروا انهم في نصف الكرة الجنوبي مش الشمالي وتأثير كوريوليس يخلي المقدوفات تحود في الاتجاه المعاكس للي هم متعودين عليه.
المعادلة الرياضية لتاثير كوريوليس اهي في الصورة.
v هو سرعة الميه
واوميجا هو سرعة دوران الارض في المكان الي انت فيه وتغيرها من نقطتين حوالين خط الاستوا حيبقي ضعيف جداً. ولذلك دي نصباية وخدعة من الشخص الي بيعملها قدامك.
اه بالمناسبة: انا جربت موضوع التواليتات ده بنفسي
المرة الوحيدة الي رحت فيها مؤتمر في امريكا الجنوبية زمان وانا طالب دراسات عليا اول حاجة عملتها دخلت الحمام وشديت السيفون 
ححطلك فيديوهات تحت.
*********************************************************
شفت بوست بيسأل سؤال مامعناه:
"هي ايه الفايدة من معرفة شكل الأرض كروية ولا مسطحة؟ حنستفيد إيه؟ حنقبض كام يعني؟"
قلت اشارككوا في ردي ولو حد افتكر حاجة تانية يقولي حضيفها:
الفايدة من معرفة شكل الارض:
١) الخرائط الملاحية في البحر والجو لن تعمل من غير مساحة دقيقة لشكل الارض. تجارتك حتقف ومراكبك حتخبط في بعضها والاوردر بتاع امازون مش حيوصلك 
٢) الراديو والتليفزيون والاشارات التليفزيونية مش حتشتغل.
٣) الانترنت حتقف.
٤) الGPS مش حيشتغل.
٥) تصميمات الrailways والأنفاق الطويلة زي نفق المانش حتنهار.
٦) القذائف بعيدة المدي في الحروب مش حتشتغل من غير الاخذ في الاعتبار كروية ودوران الارض وتأثير كوريوليس الناتج عن الاتنين.
٧) ابحاث الفضاء كلها حتقف ، ودي قائم عليها ابحاث تانية كتير. مثلاً ابحاث طبية وزراعية in zero gravity الي بتتعمل علي الinternational space station
دي مجرد امثلة. باختصار حضارتك كلها قائمة علي شكل الارض وايضاً دورانها.
ده غير بقي ان اثبات انها كروية وبتدور سهل جداً لاي حد اصلاً ولو كل اهل علموا اولادهم يعملوها ازاي حيبقوا بيعلموهم المنهجية العلمية وقيمة التجربة والبحث العلمي والcritical thinking.
*********************************************************
11-2-2025
فيه واحد (المفروض فيزيائي) بيقول إن ربنا بيتدخل في ميكانيكا الكم بصورة مباشرة ، وإن ده في حد ذاته دليل علي قيومية الله علي خلقه. وبيستشهد بكلام كان في حوار بين إينشتاين وهايزنبرج. طبعاً النقاشات الفلسفية إلي دارت بين العلماء في بدايات ميكانيكا الكم لا تعتبر علم فيزيائي ولكنه أقرب إلي الفلسفة. دي أول نقطة ، تاني نقطة إن الحوار ده بالذات فيه شيء من المجاز في الكلام ، تحديداً في ما يخص الإله. يعني مش كلام علمي دقيق. المهم ، قلت بدل ما أرد أنا أخلي تشات جي پي تي يرد. أدي إلي قلته ، وطلبت منه يترجم رده للعربي كمان. أتمني يكون الرد ده شافي لأي حد سمع الحوار ده قبل كدة ومتلخبط ، لأن مشكلة هذا الشخص إنه بيدعي العلم وهو نص نص خالص.
أنا:
There is a published discussion between Werner Heisenberg and Albert Einstein where Heisenberg says: "the dear Lord God would know the position of the particles." Explain what he meant by that.
تشات جي پي تي:
Ah yes — that’s from one of the most famous philosophical exchanges in 20th-century physics, and it’s classic Heisenberg. Let’s unpack it.
So, in those discussions (this one took place around 1926–27, when quantum mechanics was still being born), Einstein was pressing Heisenberg about the uncertainty principle — specifically, about whether the uncertainty was a *limitation of human knowledge* or a *limitation of nature itself*.
Heisenberg had just proposed that the position and momentum of a particle cannot both be known exactly at the same time — not because our instruments are clumsy, but because the very act of measuring one disturbs the other. In his view, **reality itself doesn’t have a definite position and momentum simultaneously**. Those values only become definite when measured.
Einstein, on the other hand, couldn’t stomach that. His intuition was deeply realist — he thought that physics should describe an objective world that exists independently of our observations. So he said, essentially: “Even if we can’t know both position and momentum, surely God knows them.”
Heisenberg’s reply — “The dear Lord God would know the position of the particles” — was a sort of ironic concession. He was saying, roughly: *Well, perhaps God knows, but that’s beyond physics.* In other words, **if there are hidden, definite values, they lie outside the scope of what science can ever access or describe**.
The remark captured the philosophical divide perfectly:
* **Einstein’s side:** Nature is deterministic; quantum mechanics is incomplete; there are hidden variables that fix everything (even if we can’t see them).
* **Heisenberg’s side:** Nature itself is fundamentally indeterminate; it’s not about ignorance — it’s about how reality *is*.
So when Heisenberg says “the dear Lord God would know,” he’s not seriously invoking theology. He’s saying, in effect, *“Maybe only a metaphysical being could know such things — but we physicists cannot, and we shouldn’t pretend otherwise.”*
That was the seed of the famous Einstein retort, *“God does not play dice,”* and Bohr’s later response, *“Einstein, stop telling God what to do.”*
In short: Heisenberg’s “dear Lord God” line is him acknowledging that if perfect knowledge exists, it’s beyond physics — because the uncertainty principle is not about technical limits but about nature’s own refusal to give us both position and momentum simultaneously.
أنا:
Translate your response above into classical Arabic. Do not add or change anything. I want a precise translation of what you wrote.
تشات جي پي تي:
آه نعم — هذه من أشهر المناقشات الفلسفية في فيزياء القرن العشرين، وهي من كلاسيكيات هايزنبرغ بحق. فلنشرحها.
في تلك النقاشات (والتي جرت تقريباً بين عامي 1926 و1927 عندما كانت ميكانيكا الكم لا تزال في طور التكوّن)، كان أينشتاين يضغط على هايزنبرغ بشأن مبدأ الارتياب — وبشكل خاص حول ما إذا كان هذا المبدأ **قيدًا على معرفة الإنسان** أم **قيدًا في طبيعة الواقع نفسه**.
كان هايزنبرغ قد طرح للتو فكرة أنه لا يمكن معرفة موقع وزخم الجسيم بدقة في الوقت نفسه — ليس لأن أدواتنا غير دقيقة، بل لأن عملية القياس نفسها تُحدث اضطرابًا في الأخرى. ومن وجهة نظره، **الواقع نفسه لا يملك موقعًا وزخمًا محددين في آن واحد**. تلك القيم لا تصبح محددة إلا عند القياس.
أما أينشتاين فلم يستسغ ذلك أبدًا. كانت حدسه واقعيًا بعمق — إذ كان يعتقد أن الفيزياء ينبغي أن تصف عالمًا موضوعيًا موجودًا بشكل مستقل عن ملاحظاتنا. فقال، في جوهر كلامه: "حتى لو لم نستطع معرفة كل من الموقع والزخم، فلا بد أن الله يعلمهما."
فجاء رد هايزنبرغ — "إنّ الرب الإله العزيز يعرف موضع الجسيمات" — كنوع من التنازل الساخر. وكان يقصد بذلك تقريبًا: *حسنًا، ربما الله يعلم، ولكن هذا خارج نطاق الفيزياء.* أي أنه **إن وُجدت قيم خفية ومحددة، فهي تقع خارج حدود ما يمكن للعلم الوصول إليه أو وصفه**.
وقد لخّص هذا القول الانقسام الفلسفي تمامًا:
* **جانب أينشتاين:** الطبيعة حتمية؛ ميكانيكا الكم غير مكتملة؛ هناك متغيرات خفية تحدد كل شيء (حتى لو لم نستطع رؤيتها).
* **جانب هايزنبرغ:** الطبيعة نفسها غير حتمية في جوهرها؛ المسألة ليست جهلًا، بل هكذا هو الواقع نفسه.
لذلك عندما يقول هايزنبرغ "الرب الإله العزيز سيعرف"، فهو لا يستحضر اللاهوت بجدّية. بل يعني في الواقع: *"ربما كائن ميتافيزيقي فقط يمكنه أن يعرف مثل هذه الأمور — لكن نحن الفيزيائيين لا يمكننا ذلك، ولا ينبغي لنا أن نتظاهر بعكس ذلك."*
وكانت تلك البذرة للعبارة الشهيرة التي قالها أينشتاين لاحقًا: *"إن الله لا يلعب النرد"،* وردّ بوهر عليه بقوله: *"أينشتاين، كفّ عن إملاء ما على الله أن يفعله."*
وباختصار: جملة هايزنبرغ "الرب الإله العزيز" كانت اعترافًا منه بأن المعرفة الكاملة — إن وُجدت — فهي خارج نطاق الفيزياء، لأن مبدأ الارتياب لا يتعلق بحدود التقنية بل برفض الطبيعة نفسها أن تمنحنا الموقع والزخم معًا في الوقت نفسه.
*********************************************************









































ليست هناك تعليقات:
إرسال تعليق