لينكات الفيسبوك مرفقة علشان لو حبيت تقرا التعليقات علي الپوستات الأصلية
4-1-2020
According to Einstein, Newton's first law should really read:
An object stays at geodesic motion (which may or may not be straight) unless influenced by a force, while an object at rest does so because it is being pushed by a force!
(paraphrased quote from my book - Covariant Physics)
*********************************************************
11-24-2020
To students of the general theory of relativity:
It is often thought by beginners that Christoffel symbols are something that only appears in curved spaces. This is because one only learns about them when studying GR. However, this is incorrect. Christoffel symbols (also known as the Lev-Civita connection) are corrections added to the components of vectors as they are parallel transported from one point in space to another. It is a mathematical correction due to the fact that parallel transport changes the components in all coordinate systems other than Cartesian. This is true whether the space is flat or curved. The diagram explains this idea for polar coordinates in FLAT two dimensional space. Note that a parallel transported vector (i.e. moved in space parallel to itself) changes its components drastically. Christoffel symbols are the quantities that must be added to correct this change.
(Screenshot from my book)
*********************************************************
11-24-2020
Parallel transport on a sphere:
Imagine that on Earth you live on the circle of latitude given in the picture. Grab a pole and point it towards the East. Now walk around the circle of latitude such that the pole is always parallel to itself from one point to the next. Once you get back to where you started from you will find that the pole is no longer pointing exactly Eastwards. You conclude then that you live on a sphere. Calculate the angle alpha, in other words, the deviation from the East after the trip. Also show that alpha is zero if you are on the equator. This actually proves that the equator, being a great circle, is a geodesic on the sphere and every segment on it is the shortest distance between two points.
(Screenshot of a problem from my book - Covariant Physics)
*********************************************************
11-24-2020
People say that Einstein's theory of relativity presented a new view of gravity, high speeds, and time.
Yes, it does all that. But Einstein's work went way beyond that. He showed us that we have been doing EVERYTHING wrong, or at least only approximately. He showed us deep symmetries ingrained in nature, so much so that even simple ideas like how to measure distances, areas, and volumes have to be fixed. We have been so naive for thousands of years. Nature is a lot more beautiful than we could have possibly imagined. Nothing has been the same since 1915. The way he looked at nature influenced every great discovery since then.
*********************************************************
11-24-2020
Imagine a sphere of uniform matter, say an idealized star or a planet, what is the volume of said sphere? Well you might look up the formula and find
Volume=(4/3)Pi a^3
where a is the radius of the sphere as measured from the outside.
But if you consider the fact that the sphere curves spacetime inside of it as it does outside of it then the volume is no longer given by this formula, since the "radius" is not the true distance from the center. To calculate the actual volume you will need to use the metric of spacetime inside the sphere. If we take a to be twice the Schwarzschild radius of the object, this gives the result in the picture, which is about 25% larger than the naive estimate based on flat spacetime: (r_s is the sphere's Schwarzschild radius)
This is not trivial, it means that the sun for example has 25% more "fuel" inside of it than it naively estimated by its "ordinary" volume.
Note: The 25% ratio is for only a=2r_s. It would actually be smaller for the sun, planets, and other objects.
(Screenshot from my book)
*********************************************************
https://www.facebook.com/moataz.emam.007/posts/10101015365521255
4-11-2022
ماهو حجم كرة لها قطر R؟
لو عملت جوجل حيطلعلك
4/3 pi R^3
ده صحيح فقط في الفراغات المستوية
Flat spaces
طيب تعال بقي احسب الحجم داخل كرة تحتوي على كتلة عالية بداخلها ، مثلاً الشمس ، ستجد ان الحجم داخل نفس الكرة هو اكبر من الرقم اعلاه؟ ليه؟ لان الفراغ داخلها منحني ولذلك نفس السطح الكروي سيحتوي علي حجم اكبر.
يعني كم المادة داخل الشمس هو اكبر من تقديرك المبني علي الهندسة العادية.
نتخيلها ازاي دي؟ نزل الابعاد واحد ، تخيل دايرة علي ورقة مسطحة زي الصورة الشمال. مساحة الدايرة
Pi R^2
لكن لو الدايرة تحيط بالتحدب الي في الصورة اليمين ، نفس الدايرة ستحتوي بداخلها علي مساحة اكبر لان الورقة منحنية.
نفهم من كدة ان كلما زاد تحدب المكان داخل جرم كروي كلما زاد الحجم بدون زيادة في مسطح الكرة ، طيب لو التحدب يمثل ثقب اسود؟ هنا ستجد ان الحجم الموجود داخل نفس السطح الكروي هو في الواقع لانهائي (الصورة التانية). يعني كرة نهائية لها سطح محدد تحتوي علي فراغ لانهائي في الحجم
مصدر الصور: كتابي Covariant Physics.
************************************************************
4-26-2022
هذا البوست استكمالاً للبوست السابق. تخيل كرة مصنوعاً من مادة ثقيلة جداً جداً بكثافة منتظمة ومتجانسة ، مثلاً نجم نيوتروني لا يدور حول نفسه ، نصف قطرها يساوي ٢ متر وكتلتها تساوي حوالي ٦ في ١٠ اس ٢٦ كج.
تخيلت؟
طيب احسب حجم هذه الكرة. اذا استخدمت المعادلة العادية لحجم الكرة وهي ٤ على ٣ پاي في نصف قطرها تكعيب ستصل الى النتيجة ان حجمها ٣٣،٥ متر مكعب.
هذه الاجابة كافية لتحصل على الدرجة النهائية في امتحان الثانوية العامة.
ولكنها الاجابة الخاطئة!!!
لأنك لم تأخذ في الاعتبار ان كتلة الكرة سببت تحدب في الزمكان داخلها مما نتج عنه حجم أكبر بحوالي ٢٥٪ من الحجم الي سيادتك حسبته!! اي ان حجم الكرة الحقيقي هو اقرب الى ٤٠،٥ متر مكعب. الكرة بداخلها حجم اكبر من حجمها الظاهر من خارجها!!
الصورة الاولى تمثيل ثنائي الابعاد لتحدب المكان في هذه المسألة.
المعادلة الصحيحة في الصورة التانية ، حيث أن
a=sphere’s radius=2m
rs=2GM/c^2 (the Schwarzschild radius)=1m
مصدر الصور: كتابي Covariant Physics
************************************************************
4-17-2022
انت عارف انك لما تيجي تحسب دوران جسم حول جسم آخر ، مثلاً يعني دوران كوكب حول نجم ، انت بتطلع نتيجة تقريبية فقط؟ ليه؟ لأنك بتهمل كذا حاجة منها تأثير جاذبية الجسم على نفسه.
يعني ايه؟
عادةً بنقول ان اي جسم بيدور حول جسم آخر فإحنا بنتخيله بيتحرك في الانحناء الزمكاني للجسم الكبير زي في الصورة ، لكن لو بصينا على الجسم الصغير حنلاقيه هو كمان بيعمل انحناء للزمكان حواليه وبالتالي بيغير الزمكان وده تأثير عادةً بنهمله لما يكون الجسم كتلته قليلة جداً مقارنةً بالجسم الكبير.
ده غير حركة الجسم الكبير نفسه الي برضه بنهملها ، بس الحمد لله دي تقريبات مش وحشة يعني بتدي نتيجة دقيقة في حالة الفرق الكبير بين الكتل. ولما يكون الفرق مش كبير يبقى هنا مانعرفش نهملها.
نفس المشكلة على فكرة بتطلع في نظرية نيوتن وكذلك بعض تطبيقات الكهرومغناطيسية.
*******************************************************
4-23-2022
معلومة عالماشي (علشان مش لاقي حاجة اهم اقولها):
بالنسبة لرياضيات النسبية العامة (بما في ذلك هندسة ريمان) السطح الاسطواني يعتبر flat زيه زي سطح الترابيزة الي في بيتكوا.
اقولك حاجة تانية كمان؟ سطح الtorus الي هو عامل زي الdonut ده ، flat برضه 
معلومة اخيرة علشان لو ماكنتش صدعت لسة: فيه اسطح كتير في ابعاد اعلى flat برضه مع انها لا تتفق مع مفهومك الكلاسيكي لكلمة flat زيها زي الاسطوانة والدونت.
أقول قولي هذا وأستغفر الله لي ولكم ، أقم الصلاه.
*************************************************************
4-28-2022
الصورة دي تعتبر ملخص سريع لمبدأ اساسي في النسبية العامة وهو اختلاف رؤية اتنين مراقبين. واحد قاعد في O’ بيشوف ظاهرة P بتحصل جنبه وبيشوفها بطريقة معينة ، ويحسب اطوالها وازمانها ويطلع ارقام. وواحد مراقب تاني بعيد O بيرصد نفس الظاهرة ويطلع اطوال وازمان مختلفة.
الاتنين بيشوفوا متريك ds^2 واحد لكن تفاصيل المتريك من اطوال وازمان بيشوفوها مختلفة. ومن هنا حيختلفوا في كل هذه الارقام. كل واحد حيشوف مثلاً مرور الزمن لP مختلف. واللطيف ان الاتنين صح ، محدش فيهم يقدر يدعي الحقيقة المطلقة في موضوع الاطوال والازمان ، ولذلك اسمها "النسبية." هم بيتفقوا فقط علي مجموع المتريك ككل.
ده ملخص لمبدأ الcovariance الي كتابي كله قائم عليه.واللطيف ان نفس الفكرة موجودة في النسبية الخاصة و(مفاجأة بقى) موجودة في الفيزياء الكلاسيكية كمان بصور مختلفة. يعني نقدر نقول ان الفيزياء وبالتالي الطبيعة كلها على بعضها
Is covariant
مصدر الصورة: كتابي Covariant Physics.
*********************************************************
4-28-2022
المعادلة التي فسرت مدار كوكب عطارد:
كما يعرف كل من قرأ تاريخ ظهور النسبية العامة فأن مدار كوكب عطارد ليس في صورة اهليجية كاملة كما تتنبأ نظريات نيوتن ولكنه في صورة اهليجية لا تغلق علي نفسها كما في الصور التالتة (مبالغ فيها).
السبب هو المعادلة في الصورة الاولى وهي ال
Effective potential
اي الطاقة الوضعية المؤثرة التي يتعرض لها جسم يدور حول جسم اخر اكبر منه. اول حد هو طاقة الجاذبية لنيوتن ، تاني حد هو طاقة الحركة الدورانية ، وكل من هاذان الحدان تنبأ بهما نيوتن عادي. اما الترم الاخير فهو الذي لا يظهر في نظرية نيوتن ويظهر فقط في نظرية اينشتاين تحت متريك شوارزتشايلد. وهو المسئول عن انحراف مسار عطارد عن المسار النيوتوني الاهليجي (مع ان متريك شوارزتشايلد نفسه يعتبر تقريب لانه يفترض ان الشمس لاندور حول نفسها ، ولكنه تقريب لا بأس به لأن دوران الشمس حول محورها بطئ) .
الرسم البياني في الصورة التانية يقارن بين الثلاثة حدود ويوضح ان الحد الاخير اضعف من الحدان بتوع نيوتن ولذلك لا يظهر مفعوله الا في جسم قريب من مركز الجاذبية وهو ما يتحقق في عطارد ولا يتحقق في ما تلاه من كواكب بصورة مرصودة لانه يضعف بالمسافة اكتر بكتير من الحدان الاصليان.
ومن هنا ايضاً نرى ان نظرية نيوتن هي حالة خاصة من نظرية اينشتاين (حدان من ثلاثة!! يعني نيوتن مسئول عن ثلثي المعادلة!!) وعلشان كدة الي يقولك اصل اينشتاين طلع نيوتن غلطان ابقي خد البوست ده وحطه في ….. عينه.
إضافة: بضع الأصدقاء فكروني ان الاختلاف بتاع كوكب عطارد جزء منه كان بيفسر بتأثير جاذبية الكواكب الاخرى علي عطارد باستخدام نظرية نيوتن العادية لكن كان جزء بس وليس الكل ، نظرية اينشتاين وتحديدًا الحد الثالث المذكور فسرها كلها.
*********************************************************
4-29-2022
الجماعة بتوع الهندسة التفاضلية يصنفون خواص الاسطح الهندسية في اي بعد من الابعاد بخاصيتين بالظبط:
Curvature
الانحناء
Torsion
الانحناء اللولبي ممكن نسميه
وده معروف من ايام ريمان الي طور هذا الفرع من الرياضيات.
النسبية العامة تقول اننا نعيش في سطح manifold رباعي الابعاد وله فقط انحناء ، اما الانحناء اللولبي فيساوي صفراً في كل نقطة في هذا السطح. ولا احد يعلم لماذا.
وعلى الرغم من ذلك فقد حاول العالم الرياضياتي الاشهر إيلي كارتان ان يعمم النسبية العامة لتحتوي على التورشن. فوجد الآتي:
تأثير وجود التورشن يسبب "لولبة" في حركة الاجسام ، اي ان خط ما يتحرك على مسارات جيوديسية سيدور حول هذه المسارات بصورة لولبية كما في الصورة الأولى.
صحيح ان هذا التأثير غير مشاهد ، لكن لا يمنع انه ربما يكون موجوداً بدرجة ضعيفة جداً بحيث لا يمكن الشعور به مباشرةً ولكن ربما يكون له تأثير على الظواهر المجهولة في النسبية العامة مثل المتفردة في مركز الثقب الاسود. ولكن حتى لحظتنا هذه لم نكتشف وجود التورشن في زمكاننا الذي نعيش فيه.
الصورة الاولى: تمثيل مبالغ فيه لحركة جسم في زمكان له تورشن.
الصورة الثانية: معادلة التورشن.
مصدر الصور: كتابي
*********************************************************
5-10-2022
من أجمل الرياضيات الي ممكن تتعلمها في حياتك هي "هندسة ريمان." وهي الهندسة
Geometry not engineering
الي تصف خصائص الاسطح المنحنية. عايز تدرس مثلثات على سطح كورة؟ ادرس ريمان. عايز خصائص الأطوال على سطح paraboloid ؟ ادرس ريمان وانت تعرف كل حاجة. اقرب طريق بين نقطتين على اي سطح؟ ريمان. عايز تعمم الاسطح بتاعتك دي لابعاد اعلى واعلى بلا اي مشاكل وبنفس المعادلات؟ ريمان.
الميزة في طريقة ريمان للتعامل مع الاسطح والفراغات الي خليتها مهمة جداً للفيزياء هي انك تستطيع ان تصف كل هذه الخصائص بدون الحاجة الى ابعاد اعلى منها ، يعني بدون
Embedding
يعني ايه الكلام ده؟ تعال ندي مثال سهل. تخيل سطح كروي ، مجرد كورة. سطحها ثنائي الابعاد. بمعنى انك مش محتاج الا لرقمين علشان تحدد اي نقطة على السطح: مثلاً خط طول وخط عرض. رقمين فقط. ولذلك نقول انه سطح ثنائي الابعاد. طيب لو عايزين نجد معادلة للمسطح الكلي بالمتر المربع حنعمل ايه؟ حنروح ندور علي المعادلة نلاقيها معتمدة علي رقم مش موجود علي السطح: نصف قطر الكورة!! اه نصف قطرها مش علي السطح نفسه!! ولكنه رقم في اتجاه تالت متعامد علي السطح.
ريمان بقي حط وصف للسطح لا يحتاج الي نصف القطر ولا يحتاج الي البعد التالت اصلاً. يعني لو كائنات ثنائية الابعاد تعيش علي هذه الكورة تستطيع باستخدام شغل ريمان ان تحسب مساحة سطح العالم بتاعها (الكورة) وتعرف عنه كل حاجة بدون اللجوء الى البعد التالت. بل ان البعد التالت مش مفترض وجوده اصلاً. هذه الكائنات تستطيع وصف "الكون" بتاعها من غير ما تحتاج الى ابعاد اعلى!!!
طيب لو السطح مش كورة؟ اي سطح ينطبق عليه الكلام ده ، كورة ، مسطح flat ، شكل غريب مالوش اسم ، مافيش اي مشكلة ، حتى لو كان السطح المذكور لا نهائي.
هي دي الرياضيات الي احتاجها اينشتاين وهو بيصيغ النسبية العامة. ولذلك لما بنقول ان الكون بتاعنا ثلاثي الابعاد فنحن نصف خصائصه وانحناءه وتمدده وكل حاجة كل حاجة بدون الاحتياج الى ابعاد اعلى يعيش فيها او حتى يتمدد فيها. الرياضيات هنا حاسمة ومافيهاش جدال ، كوننا "سطح" ثلاثي الابعاد المرجح انه لانهائي ويتمدد وكل ذلك بلا اي حاجة لاي ابعاد اخرى.
مش قادر تتخيلها؟ عادي ، ولا انا ، لكن الرياضيات واضحة لكن من يفهمها.
*************************************************************
5-13-2022
المتريك the metric
معادلة تكاد تكون سحرية بتوصف أي زمكان تحبه. رياضياً المتريك عبارة عن شبكة متعددة الأبعاد تقدر تحطها على أي "سطح" متعدد الأبعاد ليه خصائص ريمانية
Riemannian manifold
زي مابيننا في بوستات سابقة.
قوة البتاع ده المسمى بالمتريك هو انه جواه كل الصفات المطلوبة ، فمنه نقدر نوصف تحدب الزمكان ، ومنه نقدر "نتخيل" شكل الزمكان ، ومنه نقدر نحسب حركة الأجسام في الزمكان ، سوء كانت ليها كتلة أو مالهاش ، ومنه تعرف تصرفات المجالات الكهرومغناطيسية في الزمكان ، ومنه توصف ما نسميه بجاذبية الأجسام ، وفيه متريك بيوصف الكون كله (انظر بوستات سابقة). فكما قال أحد الحكماء (أنا): إديني المتريك ومالكش دعوة ، حجيبلك كل الي انت عايزه.
يعني المتريك (ds^2) هو الوصفة السحرية الي تقدر تلاقي فيها كل الي نفسك فيه. وعلشان كدة اهتميت في كتابي اني اشرح كل حاجة من منظور المتريك. فهو للزمكان مثل الدالة الموجية لميكانيكا الكم: الأساس الي تقوم عليه النظرية بالكامل.
بمناسبة صورة الثقب الأسود اشارككم بعض المتاريك (متريكات؟). من الأقل دقة للأكثر دقة وتعقيداً ، وكلهم مبنيين على بعض ، وكل واحد حالة خاصة من الي بعده:
الصورة الأولى: متريك جاليليو ، بيوصف الزمكان في مجال جاذبية منتظم وضعيف جداً زي على سطح الأرض. استخدام المتريك ده في النسبية العامة يقابله المسائل بتاعة ثانوي الي كان فيها اجسام بتسقط قريباً من سطح الأرض وprojectiles وكدة.لاحظ ظهور
g=9.81m/s^2
فيه.
الصورة الثانية: متريك نيوتن: بيوصف الزمكان حوالين جسم كروي ضعيف الكتلة ويقابله نظرية الجاذبية لنيوتن بالكامل ، أي ان هذا المتريك هو الي يودينا على قانون الجذب العام لنيوتن الي تقدر تستنجه منه. لاحظ ظهور ثابت نيوتن G.
الصورة الثالثة: متريك شوارزتشايلد: يصف الزمكان حوالين جسم كروي شديد الكتلة وفي اقصى حالاته يودينا الى وصف ثقب أسود لا يدور. هو ده المتريك الي بنستعمله لتمثيل الشمس نظراً لان دورانها بطيء. وباستخدام هذا المتريك تم تفسير انحراف مدار كوكب عطارد.
الصورة الرابعة:متريك رايزنر ونوردستروم ، يصف الزمكان حوالين جسم كروي شديد الكتلة مشحون بشحنة كهربائية ستاتيكية. وفي اقصى حالاته يودينا الى وصف ثقب اسود لا يدور ومشحون كهربياً.
الصورة الخامسة:متريك كير. يصف الزمكان حوالين جسم كروي/ثقب اسود غير مشحون ولكن يدور حول محوره.يستخدم للاجرام السماوية سريعة الدوران مثل النجوم النيوترونية النابضة pulsars.
الصورة السادسة: متريك كير ونيومان ، اكثرهم تعقيداً ويصف الزمكان حول جسم كروي/ثقب اسود مشحون كهربياً ويدور حول محوره ، وله مجال مغناطيسي يتولد نتيجة لحركة الشحنة الكهربية.
مصدر الصور: كتابي Covariant Physics.
https://www.facebook.com/moataz.emam.007/posts/10101020801382745

https://www.facebook.com/moataz.emam.007/posts/10101020801382745

*************************************************************
5-24-2022
"الجاذبية مش قوة لكن تحدب الزمكان."
"نيوتن طلع غلط إنه فسر الجاذبية علي إنها قوة لكن إحنا عارفين النهاردة إنها مش قوة لكن تحدب الزمكان."
"أينشتاين طلع نيوتن غلطان."
الجمل إلي فوق دول بيتقالوا كتير قوي ، والناس وخداهم علي إنهم مسلمات ، وده بسبب كتب الpop science إلي بتشرح الموضوع وبتقول كدة فعلاً.
لكن لما تدرس نسبية عامة بتعمق حتلاقي إن الكلام مش دقيق قوي ، لما تبص علي المعادلات إلي بتؤدي إلي الجاذبية جوة النسبية العامة حتلاقي إن معادلات نيوتن موجودة جواها. يعني مفهوم "قوة الجاذبية" موجود جوة النسبية العامة ، نفس المعادلات هي هي ، الفرق إن الكلام إلي بنستعمله للوصف مختلف ، لكن أكرر المعادلات هي هي.
نيوتن بيعرف الgravitational potential ؟
أه كمان موجود عند أينشتاين ، بس إسمه مختلف وتطبيقه أعم.
معدل تغير الپوتنشيال هو إلي بيدي قوة الجاذبية؟
أه موجود عند أينشتاين لكن إسمه مختلف وتطبيقه أعم.
يعني من الأخر مافيش مانع إن الواحد يقول إن أينشتاين عمم نيوتن وإدا تفسير أعمق من تفسير نيوتن ، لكن ما طلعهوش غلطان. الجاذبية في النسبية العامة تظل قوة بس إنت عمم تعريف كلمة قوة شوية ، ومعادلات نيوتن جواها تحدب للزمكان بس ضعيف ومش واضح علشان كدة ماتفسرش علي إنه تحدب للزمكان.
ده منظوري للفرق بين النظريتين. وإلي حيقول نيوتن غلط تاني حيبقي حسابه معايا 


إضافة: الاصدقاء الي بيسألوا عن تفاصيل أكتر ، ما ينفعش أكتر من كدة. أنا بقول في البوست بمنتهى الوضوح ان الفهم التفصيلي لن يكون متاحاً الا لما "تدرس نسبية عامة بتعمق." الرأي ده هو منظوري بعد سنين من دراسة النظرية ، ناتج عن تفاصيل رياضية فيها ، مش حينفع اوضحلك اكتر من كدة من غير ماتدرس انت كمان.
*********************************************************
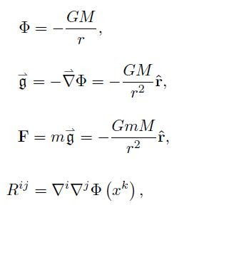
5-24-2022
تأثير المكرونة السپاجيتي
Spaghettification
كتير من الناس إلي قروا عن الثقوب السوداء عارفين إن الظاهرة دي ممكن تحصل لشخص أو لحاجة بتقع جوة الثقب الأسود. الفكرة إن في مرحلة معينة من الوقوع نقدر نقول إن قوة الجاذبية علي رجلين الشخص بتبقي أقوي من قوة الجاذبية علي راسه بصورة ملحوظة. بمعني تاني بيبقي تغير تحدب الزمكان علي رجليه مختلف عن تغيره علي راسه ، فيتشد ويتمط ويتحول إلي عود مكرونة سپاجيتي. حاجة وحشة قوي ما تتمناهاش لعدوك (أو يمكن تتمناها بحسب عمل فيك إيه عدوك ده).
الظاهرة دي ممكن تحصل قبل عبور أفق الحدث أو بعد عبور أفق الحدث ، بحسب حجم الثقب الأسود ومعدل تغير الزمكان بالنسبة لطول الشخص أو الحاجة إلي بتقع.
تمام كدة؟
تمام. بس إلي مش ناس كتير تعرفه إن الظاهرة دي موجودة في جاذبية نيوتن برضه ، يعني مش محتاجة للنسبية العامة ولا للثقوب السوداء علشان تحسبها. بس الفرق إن في الأجرام العادية زي الشمس والأرض بيكون فرق التجاذب ده ضعيف وصعب رصده. لكنه موجود ، وممكن بأجهزة دقيقة يتقاس.
المعادلات إلي في الصور دي بتحسب الفرق ده من منظور نيوتن.
المعامل Φ هو طاقة الجاذبية لكل كجم ، إلي بتوع الفيزيا بيسموه ال
Gravitational potential
وتفاضله مضروباً في كتلتك هو إلي بيدي قوة الجاذبية F , يعني علي سبيل المثال وزنك علي الأرض بيساوي كتلتك مضروبة في معدل تغير Φ دي زي ماهو واضح من المعادلات.
والتنسور R هو زي مانتوا شايفين تفاضل الΦ مرتين ، وهو إلي بيدي معدل تغير المسافة بين نقطتين في جسم بيقع. يعني لو R قيمتها بصفر معدل تباعد النقطتين دول يبقي صفر وما يحصلش spaghettification وهكذا.
ركز بقي معايا لحظة، خصوصاً لو إنت دارس نسبية عامة ، الR دي بقي في النسبية العامة هي بالظبط إلي بتبقي The Ricci Tensor!! ولو فكرت فيها لحظة حتلاقي إن تنسور ريتشي هو التفاضل التاني لمكونات المتريك تنسور. يعني مكونات المتريك تنسور هي الgravitational potential بتاع نيوتن!!
علشان كدة إلي بيقولي أينشتاين طلع نيوتن غلطان بتنرڤز عليه. معادلات نيوتن كلها جزء لا يتجزأ من النسبية العامة ، تلاقيها مستخبية جواها ، وفي رأيي لو إنت ما فهمتش النقطة دي كويس ودرست كل جوانبها مش حتفهم نسبية عامة أصلاً.
مصدر الصورة: كتابي Covariant Physics.
*********************************************************
5-27-2022
ناس كتير بتسألني ، إنت إزاي يا عم الحاج بتقول إن الجاذبية قوة حتي في النسبية العامة؟ ده كل الكتب وكل ڤيديوهات اليوتيوب بتقول إنها مش قوة وإن نيوتن كان غلطان وأينشتاين صححله.
طيب ححاول أشرح شرح مبدأي لأن الموضوع مش سهل ويُفَضَّل تكون درست الحاجات دي قبل كدة شوية. خلينا الأول نشوف كلاسيكياً هل فيه أنواع من القوة الكتب بتقول ماهياش قوة؟ أه فيه. مثلاً زي قوة الإحتكاك بين جسمين صلبين بتاعة سنة أولي دي
Friction force
تلاقي الكتب بتقولك إنها مش قوة حقيقية لكنها مجموع إصطدام نقاط في جسم مع جسم تاني فيديك حاجة نقدر نسميها قوة إحتكاك لكنها مش قوة بجد.
وتلاقي كمان بعض مدرسين الفيزياء وبعض الكتب برضه يقولك إن القوة الطاردة المركزية مش قوة حقيقية لكنها ناتجة عن رغبة الجسم إنه يمشي في طريق مستقيم داخل عربية متحركة وإنها ناتجة عن حساب الأطر المرجعية ، يعني بيحس بيها الشخص إلي في إطار مرجعي من نوعية
Noninertial reference frame
(زي الكوميك في الصورة الأولانية ما بيشرح بشيء من التفصيل).
المشكلة كلها يا شباب في تعريف كلمة قوة ، التعريف مش ثابت ولكنه بيختلف بحسب إنت إتعلمتها إزاي ووقفت لحد فين في دراستك.
لو عَرَّفنا مثلاً كلمة قوة علي إنها أي تأثير بيسبب تسارع جسم بكتلة معينة ، يعني ناخد قانون نيوتن التاني كتعريف للقوة
F=ma
يبقي هنا وبالتعريف ده فقط كل المذكور أعلاه ده قوة. الإحتكاك قوة والقوة الطاردة المركزية قوة وكوريوليس قوة وكده.
طيب الكتب بتعتمد علي إيه لما بتقول إن دول مش قوة؟
بتعتمد علي تعريف مختلف بس مش بيقولولك عليه في الكتب بتاعة سنة أولي أو ثانوي. وهو إن القوة "الحقيقية" هي القوي إلي بنسميها قوي محافظة
Conservative forces
ودي ناتجة عن فكرة طاقة الوضع ، عرف الطاقة الوضعية أولاً وبعدين تقدر تقول إن القوة هي سالب معدل تغير طاقة الوضع في تلات أبعاد ، شوف الصورة التانية. حتلاقي التعريف الكلاسيكي للطاقة الوضعية والپوتنشيال وعلاقتهم بالمجال والقوة. ولو عرفنا الپوتنشيال إنه بتاع الجاذبية يبقي هنا الجاذبية قوة حقيقية بهذا المفهوم.
طيب هل الكلام ده بيطلع في النسبية العامة؟ أه طبعاً بس بيبقي فيه تعميم لمفهوم الپوتنشيال وبالتالي تعميم لمفهوم المجال. يعني نقدر نعتبر الجاذبية مجال كلاسيكي وكمان قوة في إطار التعميم ده. وحط تحت كلمة تعميم كذا خط!! وده بيبان قوي بصفة عامة وكمان بيبان في الحالة الخاصة بتاعة السرعات البطيئة وتحدب الزمكان الضعيف. بنكتشف إن مكونات المتريك تنسور g بتقوم بدور الپوتنشيال ، ولذلك فأن معدل تغيرها بيقوم بدور مجال الجاذبية. ونظراً لأن معدل تغيرها متماشي مع ال Christoffel symbols هنا نقدر نقول إن بحسب التعميم ده النسبية العامة
Is a gravitational theory of a tensor potential as opposed to Newton’s theory which is based on a scalar potential. The rate of change of that potential gives a tensorial gravitational field which leads to the classic interpretation of a conservative force.
معلش ما كانش ينفع أكتب الحتة إلي فاتت دي غير بالإنجليزي. قلتلك الموضوع مش سهل ومش حيفهم الكلام ده غير إلي درسوا المواضيع دي لكن في النهاية هي مسألة تعريف ، حتعرف كلمة "قوة" إزاي؟ للأسف أي تفاصيل أكتر من كدة محتاجة محاضرات مش پوست واحد. بس كدة ودمتم.
*********************************************************
مشاكل النظرية العامة للنسبية (سلسلة من أربع حلقات):
5-18-2022
النظرية العامة للنسبية هي لغاية دلوقتي النظرية الحاكمة للكون كله ، بمعني إن أي ظواهر علي مستوي كبير (أكبر من حجم كوكب عادي مثلاً) أو في مجالات جاذبية عالية بنلجأ للنسبية العامة علشان نفهمها. ولحد دلوقتي ماخذلتناش إلا في موضعين (علي المستوي الكبير ، في المستويات الصغيرة عايزين ندخل ميكانيكا الكم ، وده موضوع تاني نتكلم فيه بعدين).
أولاً المادة المظلمة ، إلمفروض إنها نوع من المادة مابيتفاعلش مع أي حاجة إلا الجاذبية فقط ، يعني لا بيعكس الضوء ولا بيشع أي حاجة. عرفنا بوجودها بسبب تأثيرها الجذبوي علي دوران المجرات. فيه حاجة مخلية جاذبية المجرات أعلي من المفروض بنسبة كبيرة. دي كما بتأثر علي تحدب الضوء إلي جاي من المجرات البعيدة ، يعني بنشوف الموجات الكهرومغناطيسية حركتها بتتغير كأن فيه حاجة بتخليها تغير إتجاهها في الفراغ. حاجة مش شايفينها ولا قادرين نرصدلها أي تأثير غير دول.
ثانياً الطاقة المظلمة ، وهي حاجة تانية مختلفة عن المادة المظلمة بس تشابه أسماء ، عرفنا بوجودها بسبب إكتشافنا إن الكون مش بس بيتمدد لأ ده بيتسارع في تمدده. المفروض يتباطأ مش يتسارع ، لأن جاذبية محتواه من مجرات وما فيها المفروض تبطأه مش تسرعه. كأن فيه شيء مجهول في الفراغ "بيزق" الكون ويخليه يتمدد أسرع. يعني تقدر تقول إن تأثير الطاقة المظلمة هو تأثير معاكس للجاذبية ، بدل ما بتشد ، بتزق.
لو إنت فاكر إن دي مؤثرات صغيرة خليني أقولك إن تقدير الفلكيين إن محتوي الكون حوالي سبعين في المية طاقة مظلمة ، و ستة وعشرين في المية مادة مظلمة ، أما الأربعة في المية إلي فاضلة فهي الbaryonic matter يعني المادة العادية إلي إحنا عارفينها ، من ذرات وكواكب ومجرات وسحب سديمية وأنا وإنت. تخيل سيادتك ستة وتسعين في المية من محتوي الكون ما نعرفش عنه حاجة ، بعد كل العلم ده!
طيب بنتعامل مع الحاجات دي إزاي؟
بطريقتين أساسيتين: الأولانية هي إفتراض وجود نوع من المادة أو الطاقة مجهول لدينا ولازم نلاقيه في المعمل ، وده بيدخل في T إلي إنت شايفها في الناحية اليمين من معادلة مجال الجاذبية لأينشتاين إلي في الصورة دي. المعادلة بتقول إيه؟ بتقول إن هندسة الزمكان (علي شمال المعادلة ، G و R وg والبتوع دول) تتأثر بمحتوي الزمكان من مادة وطاقة إلي علي اليمين T. يبقي الإحتمال الأولاني إن المحتوي إلي علي اليمين ناقصه مادة أو طاقة جداد لانج ما نعرفش عنهم حاجة.
الطريقة التانية هي إفتراض إنه لأ مافيش مادة أو طاقة جداد ولا حاجة ، إحنا بس إلي مش فاهمين الزمكان بيتغير إزاي علي نطاق كبير جداً large scale يعني شمال المعادلة محتاج يتعدل ويتضاف عليه تأثيرات زمكانية فيها تعميم للنسبية العامة.
مصدر الصورة: كتابي Covariant Physics.
5-19-2022
طيب بنتعامل إزاي لو قررنا إن المادة والطاقة المظلمة هما جزء من الناحية اليمين من معادلة أينشتاين؟ يعني إلإتنين نوع جديد من المادة والطاقة.
بخصوص المادة المظلمة: مافيش حل غير إننا نحط الخصائص بتاعتها زي ما بنرصدها في صورة معادلات تخضع لنظرية المجال الكمومي وبعدين ندور عليها في المعامل والمعجلات الجسيمية ، لأنها لو كانت موجودة فلازم نلاقيها أو نقدر نخلقها في المعمل. لما نعمل كدة بنلاقي إن خصائصها تخضع لأنواع مختلفة من الجسيمات الغير مرصودة. علي سبيل المثال ممكن تبقي ثقوب سوداء صغيرة بس فيه كتير منها نشأت مع بداية الكون
primordial black holes
ممكن تبقي جسيمات من النوع إلي بتتنبأ بيه نظريات التناظر الفائق
supersymmetric particles
أو جسيمات ثقيلة ولا تتفاعل إلا مع مجال الجاذبية ليها خواص من ضمنها إن حركتها بطيئة بالنسبة للمجرات
weakly interacting massive particles (WIMPs)
وممكن تكون نوع جديد من النيوترينو ماشفناهوش معملياً لسة.
الشاهد هنا إن مافيش ولا واحد من الأنواع دي مرصود بصورة مباشرة في المعامل بتاعتنا ، علشان كدة كل إلي في إيدينا إننا نستمر في الرصد لحد ما ننكتشف حاجة تمشينا في الإتجاه الصحيح. أنا شخصياً دايماً عندي أمل في مراصد أمواج الجاذبية إلي لسة مخترعينها من قريب زي
LIGO
صحيح موجات الجاذبية ضعيفة جداً ومحتاجة لحدث قوي جداً زي إصطدام ثقبين أسودين وحاجات كدة ، لكن مين عارف ، المراصد دي بداية لعصر جديد من الرصد الفلكي ولسة ياما في الجراب يا حاوي.
بخصوص الطاقة المظلمة: هنا ما ينفعش محاولة التفسير علي إنها نوع جديد من الجسيمات ، لأن الطاقة المظلمة ليها خاصية غريبة جداً ، وهو إن كثافتها ما ينفعش تزيد ولا تقل ، كثافتها لازم تبقي ثابتة حتي ولو إن الكون بيتوسع (محدش يسألني إزاي ، محدش عارف). جه منين الكلام ده؟ من حسابات النسبية العامة إلي بتسمح بوجودها بس بالشرط ده ، وهنا من الممكن أن نضيف علي معادلات المجال بتاعة أينشتاين رقم ثابت إسمه الثابت الكوني Λ إلي موجود في الصورة الأولانية ويدي النتيجة المطلوبة. خلي بالك إن إضافة ثابت مش بيحل المشكلة ، هو بيديك بس المقدرة علي الحسابات لكن مش بيقولك مصدر الثابت ده منين.
خليك معايا ، التقيل ورا.
الحاجة الوحيدة إلي نعرف إنها بتحقق شرط ثبات الكثافة ده هي حاجة إسمها
the vacuum energy
وهي نتيجة من نتائج نظرية المجال الكمومي وبتقول إنه حتي لو مافيش أي جسيمات في الفراغ فأن الفراغ ليه طاقة قليلة جداً لكن موجودة علي طول ، مصدر الطاقة دي هو التذبذبات الكمومية. يعني ما معناه إنك لو فضيت حتة من الفراغ تماماً من أي جسيم ومن أي نوع من أنواع الطاقة المعروفة برضه مش حتبقي الطاقة في الحتة دي بصفر تماماً. غريبة مش كدة؟ خليني أقولك إنها مثبتة معملياً من عقود طويلة. دور علي
The Casimir Effect
دي مش مجرد نتيجة في الرياضيات ، لأ دي تم قياسها وبدقة عالية.
طاقة الفراغ دي بتحقق الشروط المطلوبة للطاقة المظلمة ، بمعني إن كثافتها ثابتة وكمان بتعمل ضغط معاكس للجاذبية.
إتحلت أهي!! خلاص بقي عايزين إيه تاني؟ الطاقة المظلمة هي طاقة الفراغ الكمومية المعروفة!! ألف مبروك يا باشا!!
للأسف لأ.
فيه مشكلة كبيرة قوي قوي قوي.
المشكلة دي في كمية الطاقة المتوفرة.
من تسارع تمدد الكون إحنا عارفين كثافة الطاقة المظلمة بدقة وهي الرقم إلي في الصورة التانية ، ومن حسابات المجال الكمومي وتجارب تأثير كازيمير إحنا عارفين إن طاقة الفراغ الكمومية كثافتها إلي موجودة في الصورة التالتة.
لاحظ الفرق بين الرقمين!!! لو فرق بسيط كنا قلنا ماشي مش مشكلة ، لكن الفرق رهيب!!! طاقة الفراغ الكمومية أكبر من المطلوب للطاقة المظلمة ب
1000000000000000000000000000000000000000000000000000000000000000000000000000000000000000000000000000000000000000000000000
مرة!!!!
واحد وجمبيه 120 صفر!!!!
جيت تكحلها عميتها يا باشا.
يا خسارة ، كنا خلاص حنحل المشكلة.
كانت إتحلت خلاص ، لكن الفرق بين الكثافتين لا يسمح أبداً إن يكون فيه غلط. المصيبة دي إسمها النهاردة أكبر مصيبة في الفيزياء ، أو أكبر تنبؤ خاطيء
the cosmological constant problem
worst prediction in the history of physics
طيب ما يمكن طاقة الفراغ هي نفسها الطاقة المظلمة بس فيه حاجة تانية بتكنسل الفرق الكبير ده؟ ممكن بس إنت كدة ما تبقاش حليت المشكلة ، إنت بس نقلتها من هنا لهناك.
أه ياني ، وبعدين؟
ولا قبلين أدينا مستنيين.
طيب هو مش إنت قلت إن فيه حل تاني للمشاكل دي يتلخص في تعميم الجزء الخاص بهندسة الزمكان؟ ما يمكن هو ده الحل ، ولا إحنا محتاجين لكل الحواديت دي؟
أه ممكن ، هنا بقي ندخل في إن النسبية العامة نفسها وصلت لحدود تطبيقها ومحتاجة تتعمم ، وفيه محاولات كتير لكدة ....
مصدر الصور: كتابي Covariant Physics.
5-20-2022
طيب نغير إزاي دلوقتي في النسبية العامة؟ فيه محاولات كتيرة جداً لتعميمها حقولكوا منها تلاتة أربعة. بس علشان نفهم التعميم بيتم إزاي لازم الأول نقول يعني إيه
Action (S)
الأكشن هو دالة تكاملية إكتشفنا في القرون الأخيرة من أيام شغل عبقري الرياضيات أويلر إنها ممكن تتكتب لكل نظرية من نظريات الفيزيا.
ركز معايا كدة: دالة ممكن تتكتب لكل نظرية في الفيزيا ، مبدأ واحد شامل الفيزيا كلها!
الفكرة قايمة علي مبدأ كدة بسيط جداً بيقول الأتي:
إن الطبيعة يبدو لينا إنها بتاخد دايماً السكة إلي تحقق أقل قيمة ممكنة للأكشن. يعني إيه؟ إفترض إنك كتبت الأكشن مثلاً لحركة جسيم في ميكانيكا نيوتن ، بغض النظر عن تفاصيل الأكشن بيتكتب إزاي ، الرياضيات بتقول إن الأكشن ده ليه قيمة رقمية لأي مسار ممكن الجسيم ياخده. يعني لو الجسيم مشي في خط مستقيم الأكشن بتاعه يبقي قيمته الرقمية كذا ، لو مشي في طريق دائري الأكشن يبقي قيمته كذا ، وهكذا لأي مسار من المالانهاية من المسارات. كل مسار ليه قيمة رقمية. الطبيعة بقي بتختار المسار إلي يحقق أقل قيمة ممكنة للأكشن!! يعني لما تحسب مثلاً جسيم حيمشي إزاي لو سبته يقع من أخر دور في العمارة ، حتلاقي إن مسار الخط المستقيم بيحقق أقل قيمة ممكنة لأكشن ، لكن لو حسبت مسار كورة في ماتش محمد صلاح شاطها حتلاقي إن شكل القطع الناقص
parabola
هو إلي بيحقق أقل قيمة للأكشن ، وهكذا.
طيب أقل مسار ده بنعرفه إزاي؟ ولا حاجة بنعمل علي الأكشن عمليات رياضية معينة مش مهم أشرحهالك دلوقتي علشان نوصل للقيمة الأقل دي يروح علي طول مطلعلنا المعادلات التفاضلية إلي حلولها تحقق المسار الأقل ده. في ميكانيكا نيوتن بيطلعلنا من الأكشن نفس المعادلات إلي بتطلعلنا من قانون نيوتن
F=ma
مثلاً. شوف الصور. وهكذا سيادتك عندك أكشن لكل حالات ميكانيكا نيوتن ، وإكتشفنا بعدين أكشن لمسارات جسيمات مشحونة في مجالات كهرومغناطيسية ، ده كمان فيه أكاشن للمجالات ، يعني أكشن للمجالات الكهرومغناطيسية نفسها يديك معادلات ماكسويل.
طيب إيه بقي الأكشن في النسبية العامة؟
عندك بصفة عامة إتنين ، الأولاني بيحقق مسار أي جسيم في أي زمكان ، ودي بيديك معادلة الجيوديسيات المشهورة.
والتاني إلي بيديك علاقة الزمكان نفسه بالمادة ، يعني يوديك لمعادلات المجال بتاعة أينشتاين ، وليه كذا صورة زي مانت شايف في الصور.
من هنا نفهم إن الأكشن أكتر أهمية من معادلات المجالات نفسها ، وبيكون في الغالب أبسط بكتير في فهمه. وبقي عادي دلوقتي إن الأبحاث الحديثة تلاقي أول معادلة في البحث يديك الأكشن ، إلي أول ماتشوفه تفهم علي طول النظرية بكل محتواها. الأوتار ليهم أكاشن ، نظريات المجالات المختلفة ليها أكاشن ، النموذج المعياري
Standard model
ليه أكشن طوله أربع صفحات ، النظريات الفائقة التناظر
Supersymmetric theories
ليها أكاشن. ويظل الأكشن المعادلة إلي تعمل
definition
للنظرية. ومن هنا كان الأسهل إنك علشان تعمم النظرية النسبية ومفهوم الزمكان فيها إنك تمسك الأكشن وتلعب فيه وتشوف حيحصل إيه.

5-22-2022
أخيراً بقى وصلنا للمرحلة إلي نتكلم فيها عن محاولات تعميم النسبية العامة نفسها. إتفقنا علي حاجتين ، الحاجة الأولانية إن محاولات التعميم دي قايمة علي مفهوم الأكشن ، بالإضافة إلي إنهم لازم يدوا حلول لمشاكل المادة المظلمة والطاقة المظلمة.
الصورة الأولانية فيها الأكشن المسمي بإسم
Einstein-Hilbert Action
إلي هو بيوصل للطرف الشمال من معادلة أينشتين للمجال. حطيتلك الصورة دي للمقارنة ، هي دي إلي بتمثل النسبية العامة الحالية من غير تعديلات ولا إضافات.
من أشهر محاولات التعميم هي نظرية
Brans-Dicke
وهي نظرية تضيف مجال إضافي للنسبية العامة ، يعني بتقول إن بالإضافة لتحدب الزمكان المباشر فأن فيه مجال
Scalar field ϕ
بيساهم في الجاذبية نفسها ، يعني مش مجرد مجال جديد شغال في الزمكان وخلاص ، لأ ده جزء لا يتجزأ من مسببات تحدب الزمكان ، لاحظ نقطة مهمة: المجال ϕ مضروب في R في الأكشن ده ، ولاحظ بالمقارنة بأكشن أينشتاين هلبرت إن ده بيسبب إن κ يبقي متغير ، ولما تعرف إن κ هو ثابت الجاذبية تعرف هنا إن ϕ بيغير في ثابت الجاذبية نفسه. يعني إيه؟ يعني إن النظرية دي بتسمح إن قوة تحدب الزمكان تكون متغيرة بحسب حركة المجال ϕ! ده بيدي حرية لتحدب الزمكان إنه يتغير ويدي مؤثرات مختلفة عن نظرية النسبية العادية. ممكن المؤثرات دي تكون تجاذبية وممكن تكون طردية بحسب قيمة تفاعلات ϕ . ونظراً لأن المجال ϕ تفاعلاته بتتغير بصورة مختلفة بحسب تفاعله مع نفسه إلي بيحكمه الدالة V فده معناه إن نظرية برانز ديكي هي في الواقع عدد لانهائي من النظريات المحتملة ، بحسب قيمة الدالة V .
تاني أشهر محاولة من محاولات التعميم هي نظرية
f(R)
إلي بتقول إن بدل ما الدالة R تكون موجودة كدة لوحدها في الأكشن ممكن نعمم إن يكون بدالها أي دالة في R نفسها. ولذلك ممكن تكون الدالة f دي أي عدد تحبه من العلاقات في R زي مانت شايف في الصورة التانية. النظرية دي اليومين دول مشهورة قوي لأنها تعتبر أكتر تعميماً من برانز ديكي ، بل إنك ممكن تلاقي جواها برانز ديكي لو إنت عايز. المهم إن بعض الحسابات البسيطة بتوري إن من الممكن إختيار f إنها تديك المؤثرات المطلوبة للمادة والطاقة المظلمة.
تالت محاولة مشهورة بتعتمد علي إحتمال وجود أبعاد عليا ، وهي نظرية جاوس بونيه في الصورة التالتة. ودي بتعتمد علي علاقات طبولوجية (مش مهم) بالزمكان وزي مانت شايف فيها فقط إضافة تيرم زيادة إسمه
Gauss-Bonnet term
وده بيعتمد علي علاقات أكتر عمق لتنسورات الزمكان.
أخيراً وليس أخراً فيه محاولات مشهورة برضه بتعتمد علي أبعاد عليا ، زي نظرية كالوتسا كلاين المشهورة إلي أينشتاين نفسه كان معجب بيها جداً. وفيه محاولات تحت مسمي نظريات لاڤلوك وهكذا. وفيه محاولات لإدخال التورشين في النظرية زي نظرية كارتان
إتكلمنا عنها قبل كدة هنا
وفيه محاولات تانية للتعامل مع مؤثرات التفاضل الأول للمتريك جنباً إلي جنب مع مؤثرات المتريك نفسه زي
teleparallel gravity
طيب أي من المحاولات دي هو إلي صح والباقي غلط؟ مش حنعرف إلا لما الرصد الفلكي يحصلنا ويدينا نتايج تخلينا نفرق بين النظريات وبعضها ونعرف مين فيهم الصح. وبصراحة ممكن جداً ووارد إن يكون كل النظريات دي هم في الواقع أوجه مختلفة من نظرية واحدة حقيقية.
طبعاَ أنا هنا أهملت المحاولات من نوعية إدخال التناظر الفائق
Supergravity
إلي هي في الواقع تخصصي أنا. بس دي عايزالها سلسلة بوستات لوحدها.
































ليست هناك تعليقات:
إرسال تعليق